Essays.club - Получите бесплатные рефераты, курсовые работы и научные статьи
Поиск

Контрольная работа по «Статистике и эконометрике»

Автор:   •  Август 22, 2021  •  Контрольная работа  •  380 Слов (2 Страниц)  •  344 Просмотры

Страница 1 из 2

МИНИСТЕРСТВО НАУКИ И ВЫСШЕГО ОБРАЗОВАНИЯ РОССИЙСКОЙ ФЕДЕРАЦИИ

ФГБОУ ВО «Уральский государственный экономический университет»

Контрольная работа

по дисциплине: «Статистика и эконометрика »

вариант № 15

Исполнитель: студентка Ⅲ курса института заочного и

очно - заочного обучения

направления «Экономика предприятий и организаций»

Низамова Л.И.

Екатеринбург 2019

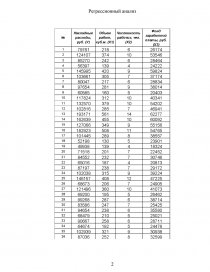
Регрессионный анализ

[pic 1]

1. А)

 

У

Х1

Х2

Х3

У

 

0,991624

0,90649

0,932758

Х1

 

 

0,916853

0,922832

Х2

 

 

 

0,831775

Х3

 

 

 

 

[pic 2]

Значение принятия нулевой гипотезы по константе меньше 0,05, поэтому она признаётся статистически значимой.

Если вероятность принятия нулевой гипотезы больше 0,05, то переменная признаётся статистически незначимой, то есть переменную Х2 следует исключить.

 

Коэффициенты

P-Значение

Y-пересечение

2049,08

0,36332

Переменная X 1

303,2149

3,08E-17

Переменная X 2

0,327437

0,036456

Рассчитанным значениям корреляции можно доверять.

Уравнение регрессии: Y = 2049,08 + 303,2149*X1 + 0,327437*X2.

Значение F = 5,04183E-31, F < 0,05, поэтому нулевая гипотеза отвергается. Следовательно, уравнение признаётся статистически значимым.

Регрессионная статистика

 

Множественный R

0,992682629

R-квадрат

0,985418802

Нормированный R-квадрат

0,984535093

Стандартная ошибка

4374,994664

Наблюдения

36

Дисперсионный анализ

 

 

 

 

 

 

df

SS

MS

F

Значимость F

Регрессия

2

4,27E+10

21343549201

1115,094

5,04183E-31

Остаток

33

6,32E+08

19140578,31

 

 

Итого

35

4,33E+10

 

 

 

 

Коэффициенты

Стандартная ошибка

t-статистика

P-Значение

Нижние 95%

Верхние 95%

Нижние 95,0%

Верхние 95,0%

Y-пересечение

2049,07966

2222,894

0,92180728

0,36332

-2473,431707

6571,591

-2473,43

6571,591

Переменная X 1

303,214887

18,76386

16,1595116

3,08E-17

265,039518

341,3903

265,0395

341,3903

Переменная X 2

0,32743665

0,150168

2,18047485

0,036456

0,021918396

0,632955

0,021918

0,632955

...

Скачать:   txt (7.8 Kb)   pdf (279 Kb)   docx (144.5 Kb)  
Продолжить читать еще 1 страницу »
Доступно только на Essays.club