Essays.club - Получите бесплатные рефераты, курсовые работы и научные статьи
Поиск

Формирование философии совершенствования организационной культуры

Автор:   •  Май 31, 2021  •  Доклад  •  898 Слов (4 Страниц)  •  529 Просмотры

Страница 1 из 4

Доклад

1 слайд

  • Курсовая работа на тему «ФОРМИРОВАНИЕ ФИЛОСОФИИ СОВЕРШЕНСТВОВАНИЯ ОРГАНИЗАЦИОННОЙ КУЛЬТУРЫ» выполнена в соответствии с поставленной целью и задачами.
  • Цель курсовой работы – на основе комплексного исследования формирования философии совершенствования организационной культуры в АО «ТИНЬКОФФ БАНК» сформулировать меры по ее совершенствованию.

Исходя из поставленной цели курсовой работы, были поставлены следующие задачи:

  •  изучить теоретические аспекты сущности организационной культуры;
  •  раскрыть специфику и особенности формирования философии совершенствования организационной культуры организации;
  •  охарактеризовать АО «ТИНЬКОФФ БАНК»;
  •  описать философию формирования организационной культуры в организации;
  •  показать эффективность сложившейся организационной культуры;

 сформулировать рекомендации по совершенствованию организационной культуры;

 рассчитать экономический эффект от рекомендаций.

Объект исследования – АО «ТИНЬКОФФ БАНК».

Предмет исследования – процесс формирования философии совершенствования организационной культуры АО «ТИНЬКОФФ БАНК».

2 слайд

Если рассматривать организационную культуру на деятельностном уровне, то под ней можно понимать уровень практических действий работников, направленных на то, чтобы достичь миссию и стратегии, реализовать концепции, философию организации, корпоративные ценности и нормы, стиля управления, традиций, программ и проектов и др.

В качестве одного из звеньев, которые составляют организационный механизм организационную культуры организации выступает деловой кодекс работника организации. Из большого количества деловых кодексов в организации могут быть использованы правила и нормы, соответствующие целям и стратегиям организации, ее истории, характеру отношений собственности, требованиям среды и др.

Абрамова С.Г. и Костенчук И.А. предлагают следующую классификацию, посредством которой они выделяют различные виды организационной культуры.

[pic 1]

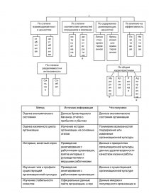
Метод

Источник информации

Что получено

Оценка экономического состояния

Данные бухгалтерского баланса, отчета о прибылях и убытках

Данные экономического состояния организации

Оценка жизненного цикла организации

Изучение истории организации, ее основных этапов

Понимание возможностей поддержания или изменения организационной культуры

Интервью, анкетный опрос

Проведение анкетирования с работниками организации, взятие интервью с руководителями и ведущими работниками

Данные о приоритетах организационной культуры, данные удовлетворенности качеством жизни и работы

Изучение типа и профиля существующей организационной культуры

Проведение анкетирования с работниками организации

Данные о существующей организационной культуре

Изучение стабильности клиентов

Официальные данные сайта организации, а при его отсутствии проведение опроса среди клиентов и потребителей

Данные имиджа и популярности организации в глазах потребителей

Анализ финансовых показателей за три года

Данные бухгалтерского баланса, отчета о прибылях и убытках

Данные динамики изменений экономических показателей организации в течение последних трех лет  

Оценка эффективности существующей организационной культуры

Все собранные данные ранее

Развернутое, комплексное представление о существующей организационной культуре

Проектирование мер по поддержанию организационной культуры

Результаты исследования автора

Меры по поддержанию организационной культуры и стабилизации положения организации

Сравнение фактической и предлагаемой организационной культуры

Собранные и проанализированные данные по существующей организационной культуры и предлагаемой

Представление о возможных изменениях в организационной культуре, результатах нововведений

Оценка эффективности предлагаемых мер

Расчеты коэффициентов

Сравнительная оценка предлагаемых изменений

Применяемые методы исследования организационной культуры 3 слайд

...

Скачать:   txt (14.2 Kb)   pdf (249.7 Kb)   docx (61.6 Kb)  
Продолжить читать еще 3 страниц(ы) »
Доступно только на Essays.club