Essays.club - Получите бесплатные рефераты, курсовые работы и научные статьи
Поиск

Контрольная работа по "Эконометрике"

Автор:   •  Январь 22, 2019  •  Контрольная работа  •  958 Слов (4 Страниц)  •  456 Просмотры

Страница 1 из 4

Министерство образования и науки Российской Федерации

Алтайский государственный технический университет

им. И.И. Ползунова

Институт интенсивного образования

Контрольная  работа

По дисциплине эконометрика

Вариант 3

Выполнила: студентка

гр. Км(з) ПИЭ-81

Проверил:

Камень-на-Оби, 2011

                       РЕГРЕССИОННЫЕ МОДЕЛИ.

Задача 1.

Имеются данные

Таблица 1

п/п

 Х

 У

1

 35,3

3 469,0

2

 28,1

3 100,0

3

 35,3

2 796,4

4

 28,1

2 978,8

5

 35,3

2 756,7

6

 28,1

2 936,8

7

 35,3

3 237,2

8

 28,1

2 861,8

Построим линейное уравнение парной регрессии зависимости  У от Х.

[pic 1]

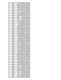
Для расчета параметров уравнения линейной регрессии составим расчетную таблицу 2

п/п

Цена продажи тыс.дол.

(у)

Число участников чел.(х)

[pic 2]

[pic 3]

[pic 4]

[pic 5]

[pic 6]

 [pic 7]

[pic 8]

 [pic 9]

1

3 469,0

 35,3

3064,828

451,9

204244,9

404,2

163378,4

3,6

13,25832

 

2

3 100,0

 28,1

2969,361

82,9

6874,791

130,6

17068,89

-3,6

13,25832

-7,3

3

2 796,4

 35,3

3064,828

-220,7

48692,75

-268,4

72037,46

3,6

13,25832

7,3

4

2 978,8

 28,1

2969,361

-38,2

1462,727

9,5

90,02211

-3,6

13,25832

-7,3

5

2 756,7

 35,3

3064,828

-260,4

67823,94

-308,2

94964,99

3,6

13,25832

7,3

6

2 936,8

 28,1

2969,361

-80,3

6453,124

-32,6

1062,612

-3,6

13,25832

-7,3

7

3 237,2

 35,3

3064,828

220,1

48441,57

172,4

29708,26

3,6

13,25832

7,3

8

2 861,8

 28,1

2969,361

-155,3

24109,35

-107,5

11564,47

-3,6

13,25832

-7,3

24 136,8

 253,6

 

 

408103,1

 

389875,2

 

106,0665

-7,3

сред.знач.

3017,094

31,6962776

 

[pic 10]

225,8603

[pic 11]

220,7587

[pic 12]

3,641197

-0,9102993

квадрат.

51012,89

квадрат.

48734,39

...

Скачать:   txt (25.2 Kb)   pdf (876.8 Kb)   docx (1.3 Mb)  
Продолжить читать еще 3 страниц(ы) »
Доступно только на Essays.club