Essays.club - Получите бесплатные рефераты, курсовые работы и научные статьи
Поиск

Ассортимент и особенности технологии приготовления кулинарных и кондитерских изделий в русской кухне

Автор:   •  Март 1, 2020  •  Курсовая работа  •  12,125 Слов (49 Страниц)  •  812 Просмотры

Страница 1 из 49

МИНИСТЕРСТВО НАУКИ И ВЫСШЕГО ОБРАЗОВАНИЯ РОССИЙСКОЙ ФЕДЕРАЦИИ

Федеральное государственное бюджетное образовательное учреждение

высшего образования

«Уральский государственный экономический университет»

 

 

Курсовая работа

По дисциплине «Технология продукции общественного питания»

Тема: Ассортимент и особенности технологии приготовления кулинарных и кондитерских изделий в русской кухне

 

 

 

Институт: Торговли, пищевых технологий и сервиса

Студент Гусокашин Роман Андреевич

Направление: «Технология продук-ции и организация общественного питания»

Группа: ТПОП-16-2

Профиль: «Технология продукции и организация ресторанного бизнеса»

Руководитель: Панкратьева Наталья Анатольевна

Кафедра: «Технологий питания»

Дата защиты: _________

Екатеринбург

2019[pic 1]

Содержание

Введение        3

1. История развития русской кухни и ее особенности        5

2.Характеристика кулинарных и кондитерских изделий в русской кухне.        17

3.Пищевая и биологическая ценность продуктов, используемых для приготовления кулинарных и кондитерских изделий данной кухни.        20

4. Ассортимент кулинарных и кондитерских изделий (со сводной таблицей рецептур).        23

5. Особенности приготовления, оформления и правила подачи        27

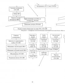
6.Аппаратно-технологические (технологические) схемы производства кулинарных и кондитерских изделий        29

7. Физико-химические процессы, происходящие с пищевыми веществами при технологической обработке продуктов, их роль в формировании качества продукции.        38

8. Контроль качества продукции. Расчет пищевой и энергетической ценности.        43

9. Разработка технологических нормативов (ТТК, ТИ) или нормативной документации (СТП, ТУ и ТИ) на ассортимент продукции        59

Заключение        64

Список использованных источников        65

ПРИЛОЖЕНИЕ А        66

ПРИЛОЖЕНИЕ Б        69

ПРИЛОЖЕНИЕ В        71

ПРИЛОЖЕНИЕ Г        73

ПРИЛОЖЕНИЕ Д        75

ПРИЛОЖЕНИЕ Е        78


Введение

Питание - одно из важнейших условий здоровья людей. Пища должна содержать в нужных пропорциях все питательные вещества, необходимые человеку для жизни, удовлетворять сложным органолептическим и эстетическим потребностям, доставлять приятные ощущения.

Искусство приготовления пищи - одно из самых древних на земле. На протяжении веков люди, руководствуясь собственным опытом и опытом предшествующих поколений, выбирали наиболее удачные сочетания продуктов и вырабатывали рациональные приемы их обработки.

У каждого народа существуют свои, исторически сложившиеся особенности питания. Они связаны с географическим положением, историей страны, ее экономикой, с народными традициями и вероисповеданием. Привычки и пристрастия к определенным блюдам у разных народов складывались на протяжении длительного времени, что привело к созданию национальных кухонь, ставших неотъемлемой частью национальной культуры.

В основу национальных кухонь легли два основных фактора: набор продуктов и способы их обработки. Использование обычного сырья в оригинальных сочетаниях и пропорциях, применение дополнительных, специфических для данной местности добавок и приправ, выработка своей технологии приготовления блюд позволили каждому народу добиться их неповторимого вкуса и своеобразия.

...

Скачать:   txt (169.4 Kb)   pdf (758.7 Kb)   docx (801.1 Kb)  
Продолжить читать еще 48 страниц(ы) »
Доступно только на Essays.club