Essays.club - Получите бесплатные рефераты, курсовые работы и научные статьи
Поиск

Совершенствования муниципального рынка товаров и услуг и обоснование их эффективности

Автор:   •  Сентябрь 11, 2018  •  Курсовая работа  •  6,502 Слов (27 Страниц)  •  830 Просмотры

Страница 1 из 27

СОДЕРЖАНИЕ

ВВЕДЕНИЕ        3

1. ТЕОРЕТИЧЕСКИЕ ОСНОВЫ МУНИЦИПАЛЬНОГО РЫНКА ТОВАРОВ И УСЛУГ        6

1.1 Понятие и сущность муниципального рынка, его элементы        6

1.2 Проблемы муниципального рынка товаров и услуг        8

1.3 Нормативно - правовая основа муниципального рынка товаров и услуг        11

2. АНАЛИЗ И ОЦЕНКА МУНИЦИПАЛЬНОГО РЫНКА ТОВАРОВ И УСЛУГ В МО «ГОРОД ИЖЕВСК»        17

2.1. Общая характеристика МО «Город Ижевск»        17

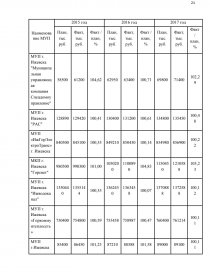
2.2. Анализ и оценка муниципального рынка товаров и услуг в МО «город Ижевск»        20

3. НАПРАВЛЕНИЯ СОВЕРШЕНСТВОВАНИЯ МУНИЦИПАЛЬНОГО РЫНКА ТОВАРОВ И  УСЛУГ В МО «ГОРОД ИЖЕВСК»        28

3.1. Основные тенденции развития муниципального рынка товаров и услуг в муниципальном образовании «город Ижевск»        28

3.2. Мероприятия по совершенствованию муниципального рынка товаров и услуг и обоснование их эффективности        29

ЗАКЛЮЧЕНИЕ        37

СПИСОК ИСПОЛЬЗОВАННЫХ ИСТОЧНИКОВ И ЛИТЕРАТУРЫ        39


ВВЕДЕНИЕ

Проблемы глобализации социально-экономических отношений поднимают вопросы о способах организации социальной жизни, роли социальных взаимодействий и создании условий для реализации человеческих потребностей в современном постиндустриальном обществе. Перед современным российским обществом проблемно встают многообразные задачи экономического, социально-политического и духовного развития членов общества. Это требует дальнейшего углубления теории научного управления социально-экономическими процессами, совершенствования форм и методов целенаправленного и планомерного развития различных сфер общественной жизни.

Объектом исследования  выступают общественные отношения в области исследования муниципального рынка товаров и услуг.        

Предметом исследования являются формы, методы, принципы  муниципального рынка товаров и услуг в МО «Город Ижевск» Удмуртской Республики.

        Цель исследования заложена в разработке предложений по совершенствованию муниципального рынка товаров и услуг.

Задачи исследования:

-исследовать теоретико – правовые основы муниципального рынка  товаров и услуг;

-выявить проблемы муниципального рынка  товаров и услуг города Ижевска;

-предложить мероприятия по совершенствованию муниципального рынка товаров и услуг города Ижевска.

Методологией исследования выступают: общенаучные методы (наблюдение, эксперимент), историко-диалектические (системный метод, сравнение), анализ, логический метод.

Источниковую базу  работы составляют Конституция Российской Федерации, Федеральный закон от 6 октября 2003 г. № 131-ФЗ «Об общих принципах организации местного самоуправления в Российской Федерации», Закон Удмуртской Республики от 13.07.2005 № 42-РЗ «О местном самоуправлении в Удмуртской Республике», Решение городской Думы города Ижевска от 16 июня 2005 года № 333 «О принятии Устава муниципального образования «город Ижевск» (Устава города Ижевска)» и т.д.

Теоретической основой курсовой работы являются труды отечественных и зарубежных авторов.

В отечественной литературе проблематике муниципального рынка  товаров и услуг посвящены работы А.Г. Воронина, В.В. Игнатова, В.И. Кнорринга, А.С. Маршалова, О.М. Рой и многих других. В работах указанных авторов, в частности, рассматривается понятие муниципальных органов власти и их структура, технология муниципального рынка  товаров и услуг , функции и методы управления ими.

Вопросы изучения деятельности местных органов власти в процессе становления муниципального рынка  товаров и услуг нашли широкое отражение в зарубежной экономической литературе в трудах Э. Макварта, К. Росса, А. Шедлера и других авторов.

...

Скачать:   txt (94 Kb)   pdf (316.6 Kb)   docx (69.2 Kb)  
Продолжить читать еще 26 страниц(ы) »
Доступно только на Essays.club