Essays.club - Получите бесплатные рефераты, курсовые работы и научные статьи
Поиск

Экономическое обоснование строительства автомобильной дороги 3 категории протяженностью 26,3 км

Автор:   •  Май 3, 2018  •  Курсовая работа  •  3,881 Слов (16 Страниц)  •  1,211 Просмотры

Страница 1 из 16

ОГБПОУ «КОСТРОМСКОЙ АВТОТРАНСПОРТНЫЙ КОЛЛЕДЖ»

КУРСОВАЯ   РАБОТА

«Экономическое обоснование строительства автомобильной дороги

3 категории протяженностью 26,3 км»

Дисциплина «Экономика отрасли»

Специальность 08.02.05 – Строительство и эксплуатация автомобильных дорог и аэродромов»

Выполнил:

Принял:

Оценка_______________

Подпись______________    

Кострома 2018


Исходные данные:        

п/п

Показатели

Значение

1

Категория автомобильной дороги

3

2

Протяженность автомобильной дороги

26,3

3

Ширина земляного полотна

12

4

Ширина проезжей части

7

5

Ширина укрепительных полос

0.5

6

Ширина обочин

2.5

7

Конструкция дорожной одежды:

0.49

Песок

0.20

      Щебень по способу заклинки

0.10

      Щебень с пропиткой битумом

0.10

      Крупнозернистый асфальтобетон

0.04

      Мелкозернистый  асфальтобетон

0.05

8

Дальность транспортировки строительных материалов:

30

      песок (поставщик песчаный карьер)  

8

      щебень (поставщик щебеночный карьер)

10

      АБС (поставщик АБЗ)

12

9

Количество рабочих смен

165

10

 Скорость потока

270


Содержание

Введение

5

1

Стратегия маркетинга строительного производства

7

1.1

 Обследование конкурентов

8

1.2

Риски предприятия и их анализ

8

1.3

Стратегия строительного предприятия для участия в подрядных торгах

9

2

Команда управляющих и исполнителей

12

2.1

Организационная схема управления предприятием

13

2.2

Численность и фонд заработной платы руководителей, специалистов и служащих.

14

2.3

Калькуляция затрат труда и заработной платы (линейно земляных работ)

15

2.4

Состав специализированного отряда на выполнение (линейно земляных работ)

16

2.5

Расчет премии дорожным рабочим за выполнение (линейно земляных работ)

16

2.6

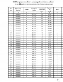
Расчет общего фонда заработной платы с учетом премий

(линейно земляных работ)

17

2.7

Распределение общего фонда заработной платы рабочих

по коэффициенту трудового участия (линейно земляных работ)

18

2.8

Калькуляция затрат труда и заработной платы (дорожной одежды)

19

2.9

Состав специализированного отряда на выполнение работ по строительству (дорожной одежды)

21

2.10

Расчет премий дорожным рабочим (дорожная одежда)

21

2.11

Расчет общего фонд заработной платы рабочих (дорожная одежда)

22

2.12

Распределение общего фонда заработной платы рабочих

по коэффициенту трудового участия (дорожная одежда)

23

3

Расчет сметной стоимости строительства дорожной одежды

28

3.1

Калькуляция транспортных расходов на перевозку 1 тонны груза

28

3.2

Калькуляция стоимости материалов

29

3.3

Локальная ресурсная ведомость

30

3.4

Локальный сметный расчет

35

3.5

Таблица и расчет сметной стоимости

42

4

Производственные ресурсы предприятия

43

4.1

Основные средства предприятия, расчет амортизации  дорожных машин и оборудования, занятых на ЛЗР и строительстве дорожной одежды

43

4.2

Расчет остаточной стоимости дорожных машин и оборудования

44

4.3

Расчет остаточной стоимости основных средств предприятия

45

4.4

Расчет размера собственного и заемного капитала

46

5

Расчет основных экономических и финансовых показателей работы предприятия

47

5.1

Основные экономические показатели деятельности предприятия

47

 Заключение

48

Литература

49

...

Скачать:   txt (83.6 Kb)   pdf (419.6 Kb)   docx (118.4 Kb)  
Продолжить читать еще 15 страниц(ы) »
Доступно только на Essays.club