Essays.club - Получите бесплатные рефераты, курсовые работы и научные статьи
Поиск

Проект консервного цеху потужністю 17,7 туб консервів за зміну, зокрема 12% мʼясо-рослинних. Технічний проект сировинного та машино-технологі

Автор:   •  Март 7, 2024  •  Курсовая работа  •  8,936 Слов (36 Страниц)  •  325 Просмотры

Страница 1 из 36

РЕФЕРАТ

Розрахунково-пояснювальна записка курсової роботи на тему: «Проект консервного цеху потужністю 17,7 туб консервів за зміну, зокрема 12% мʼясо-рослинних. Технічний проект сировинного та машино-технологічного відділень» складається із завдання, реферату, змісту, вступу, технологічної частини, яка включає 8 підрозділів, висновку, списку використаної літератури, що містить 14 найменувань.

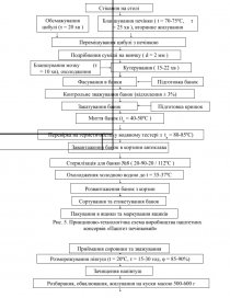
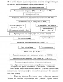
Роботу викладено на 55 сторінках, що містить 6 рисунків та 10 таблиць.

У записці на основі аналізу технічних рішень розроблено асортимент  продукції, виконані технологічні розрахунки, розраховано площі виробничих приміщень підприємства. Здійснено аналіз та обгрунтування вибору сучасних технологічних схем і обладнання на основі вимог ДСТУ на сировину та готову продукцію. Наведені креслення компонувальних рішень, технічний проект відділення та апаратурно-технологічна схема виробництва консервів.

Здійснено компонування виробничих приміщень та технічний проект сировинного та машино-технологічного відділень.

Ключові слова: м’ясні консерви, технологія виробництва консервів, сировинне відділення, м’ясо-рослинні консерви.

Зміст

Вступ…………………………………………………………………………..6

Розділ 1. Технологічна частина………………………………………….…...9

1.1. Обґрунтування та вибір асортименту продукції…………………..…9

1.2. Аналіз та вибір технологічних схем……………………………..…..11

1.3 Розрахунок сировини, додаткових матеріалів та готової продукції………………………………………………………………………….20

1.4. Вибір і розрахунок технологічного обладнання…………………….28

1.5. Розрахунок робочої сили………………………………………….….33

1.6. Розрахунок площ виробничих приміщень…………………………….35

1.7. Організація виробничого потоку………………………………….…37

1.8. Організація виробничо-ветеринарного контролю……………….…41

Висновки…………………………………………………………..52

Список використаної літератури………………………………………54

Вступ

Важливість харчування не може бути переоцінена, оскільки воно безпосередньо впливає на здоров'я та добробут нації. Якість харчування визначається не лише смаковими властивостями продуктів, а й їхнім поживним складом та безпекою. Збалансоване харчування забезпечує необхідний рівень енергії, вітамінів та мінералів для правильного функціонування організму та запобігає розвитку різних захворювань.

Україна має значний потенціал у м'ясо-консервній промисловості, що відіграє важливу роль у забезпеченні населення якісними продуктами харчування. Проте, стан цієї галузі не завжди відповідає потребам ринку та вимогам безпеки харчових продуктів. Недостатня інвестиційна привабливість, застаріле обладнання та технології, а також недоліки у системі контролю якості можуть впливати на якість м'ясних консервів та спричиняти ризик для здоров'я споживачів.

Тому важливо вдосконалювати стандарти виробництва, впроваджувати сучасні технології та підвищувати контроль якості, щоб забезпечити безпеку та якість м'ясо-консервних продуктів на українському ринку.

М'ясні та м'ясо-рослинні консерви є важливою складовою раціону багатьох людей і мають кілька значних переваг. По-перше, вони зручні у використанні та зберіганні, оскільки мають тривалий термін придатності та можуть бути легко перенесені. Для людей з активним способом життя або тих, хто подорожує, це особливо важливо.

Крім того, м'ясні консерви мають високий вміст білка та інших поживних речовин, що робить їх корисними для забезпечення організму необхідними поживними речовинами.

За останні роки спостерігається зростання інтересу до м'ясо-рослинних консервів, які поєднують в собі переваги м'ясних та рослинних продуктів.

...

Скачать:   txt (111.6 Kb)   pdf (1.1 Mb)   docx (1 Mb)  
Продолжить читать еще 35 страниц(ы) »
Доступно только на Essays.club