Essays.club - Получите бесплатные рефераты, курсовые работы и научные статьи
Поиск

Технологическая операция по производству сливочных конфет «Коровка Му-Му»

Автор:   •  Июль 6, 2023  •  Реферат  •  661 Слов (3 Страниц)  •  305 Просмотры

Страница 1 из 3

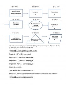
      t1=9 мин;                                         t2=12 мин                                       t3=13 мин[pic 1][pic 2][pic 3]

[pic 4][pic 5][pic 6]

         t4=15 мин                                      t5=30 мин                                    t6=9 мин [pic 7][pic 8][pic 9][pic 10][pic 11][pic 12]

                                           

       t7=16 мин                                      t8=14 мин                                         t9=18 мин                                    [pic 13][pic 14][pic 15]

[pic 16][pic 17][pic 18]

Технологическая операция по производству сливочных конфет «Коровка Му-Му» (136 минут; 1 кг фактический объем)

1) Коэффициент пропорциональности:

Кпроп.1.= 10/4,5=2,2 (перегруз)

Кпроп.2,3.= 8,9/4,5=1,97 (перегруз)

Кпроп.4,5.= 7,9/4,5=1,75 (перегруз)

Кпроп.6,7=7,5/4,5.= 1,67 (перегруз)

Кпроп.8.= 4,5/4,5=1

2) Коэффициент параллельности:

Кпар.=150/780=0,19 (технологические операции совмещены на 19%)

3) Коэффициент непрерывности:

Кнепр.=1-(2,5/13)=0,8 (Следовательно, технологическая обработка в производственном процессе составляет всего 8%)

4) Коэффициент прямоточности:

Кпрям.=1-2/13=0,85

5) Коэффициент ритмичности:

План производства конфет на 2022 год 100 тонн, недовыполнено в первой декаде 5 тонн, во второй - 3 тонны. Коэффициент ритмичности производства составляет

Критм.= 1 - (5 + 3) / 100 = 0,92

Расчет параметров СУЗ с фиксированным размером заказа

Исходные данные:

По данным учёта запасов предприятия известно, что:

- годовая потребность в конфетах 100 тонн или же 7 млн штук.,

- число рабочих дней в году 360,

- стоимость подачи одного заказа составляет 500 рублей,

- цена единицы комплектующего изделия (1 конфеты) 7,5 р рублей,

- стоимость содержания изделия на складе 2% его цены,

- время поставки 2 часа,

- возможная задержка поставки 1 час.

Показатели

Порядок расчёта

Расчёт

1

Потребность, шт.

Исходные данные

7 100 000

2

Оптимальный размер заказа, шт.

3 тонны, или же 213 тыс.шт.

213 000

3

Время выполнения заказа, дн.

Исходные данные

1

4

Время задержки поставки, ч.

Исходные данные

1

5

Ожидаемое дневное потребление, шт./дн.

(1)/Д=7100000/360

19722

6

Срок расходования заказа, дн.

(2)/(5)

10,8

7

Ожидаемое потребление за время поставки, шт.

(3)х(5)

19722

8

Максимальное потребление за время поставки, дн.

((3)+(4))х(5)

39444

9

Гарантийный запас, шт.

(8)-(7)

19722,0

10

Пороговый уровень запаса, шт.

(9)+(7)

39444

11

Максимальный запас, шт.

(9)+(2)

232722,0

12

Срок расходования запаса до поставки заказа

(11+10):5

13,8

Оптимальный размер заказа по критерию минимизации совокупных затрат на хранение запаса и повторного заказа рассчитывается по формуле Уилсона:

...

Скачать:   txt (5.3 Kb)   pdf (176 Kb)   docx (22.1 Kb)  
Продолжить читать еще 2 страниц(ы) »
Доступно только на Essays.club