Essays.club - Получите бесплатные рефераты, курсовые работы и научные статьи
Поиск

Проєкт цеху з виробництва варених колбасних виробiв у ПП "фiрма "Зерно"

Автор:   •  Ноябрь 28, 2023  •  Дипломная работа  •  12,330 Слов (50 Страниц)  •  247 Просмотры

Страница 1 из 50

ВІННИЦЬКИЙ НАЦІОНАЛЬНИЙ АГРАРНИЙ УНІВЕРСИТЕТ

Факультет технології виробництва і переробки продукції тваринництва та ветеринарії

Спеціальність 181 «Харчові технології»

Допустити до захисту:

Декан         Роман ЧУДАК

                2023 р.

Рекомендувати до захисту:

Зав. кафедри        Ірина БЕРНИК

                2023 р.

ПРОЄКТ ЦЕХУ З ВИРОБНИЦТВА ВАРЕНИХ КОВБАСНИХ ВИРОБІВ У ПП «ФІРМА «ЗЕРНО»

02.11 – КР. 190д 30.06.2022 039 ПЗ

Виконавець:         Анастасія ДАБІЖА Науковий керівник:

доцент         Оксана ПІКУЛА Рецензент:

доцент         Світлана ОВСІЄНКО

Вінниця – 2023

ЗМІСТ

РЕФЕРАТ

ВСТУП

РОЗДІЛ 1.

ОГЛЯД ЛІТЕРАТУРИ

1.1.

Інновації в м’ясопереробній галузі

1.2.

Основні        напрямки        розвитку        науки        і        техніки        щодо поліпшення якості, розширення асортименту ковбасних

виробів

РОЗДІЛ 2.

ТЕХНІКО-ЕКОНОМІЧНЕ ОБҐРУНТУВАННЯ

2.1.

Місце та об’єкт дослідження

2.2.

Методика виконання роботи

РОЗДІЛ 3.

ТЕХНОЛОГІЧНА ЧАСТИНА

3.1.

Обґрунтування асортименту продукції

3.2.

Характеристика        сировини,        що        використовується        для виготовлення варених ковбасних виробів

3.3.

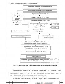
Технологічні        операції        та        вибір        технологічної        схеми

виробництва варених ковбасних виробів

3.4.

Характеристика готової продукції

3.5.

Розрахунок і вибір технологічного обладнання,

апаратурно-технологічна схема

3.6.

Розрахунок виробничих площ

3.7.

Аналіз небезпечних факторів при виготовлені ковбас

РОЗДІЛ 4.

ОХОРОНА ПРАЦІ

ВИСНОВКИ

СПИСОК ВИКОРИСТАНИХ ДЖЕРЕЛ

ДОДАТКИ

04.02.ДП.23.З-25.00.00.000.ПЗ

Арк

7

Змн.

Арк.

№ докум.

Підпис

Дата

РЕФЕРАТ

Дабіжа Анастасія Іванівна

Проєкт цеху з виробництва варених ковбасних виробів у ПП «Фірма

«Зерно»

Кваліфікаційна робота спеціальність 181 «Харчові технології» містить: 49 с. – 21 таблиць. – 1 рис. – Бібліогр. 30 джерел літератури.

Мета роботи – провести розрахунок основної і допоміжної сировини для виробництва варених ковбас, вибрати технологічну схему та апаратурно- технологічну схеми виробництва готової продукції, підібрати необхідне обладнання та розрахувати його кількість.

Асортимент варені ковбаси: Докторська вищий гатунок, Українська 1 гатунок, сосиски Любительські вищий гатунок.

Продуктивність цеху – 7500 кг готової продукції за зміну.

Згідно проведених розрахунків для виготовлення необхідної кількості готової продукції згідно асортименту в загальному необхідно свинини – 10412,66 кг, яловичини – 8928,2 кг.

Для забезпечення виробничого процесу необхідне наступне обладнання: вовчок, кутер, вакуумний шприц, термокамера, шпигорізка, льодогенератор.

04.02.ДП.23.З-25.00.00.000.ПЗ

Арк

8

Змн.

Арк.

№ докум.

Підпис

Дата

...

Скачать:   txt (169.9 Kb)   pdf (875.7 Kb)   docx (1 Mb)  
Продолжить читать еще 49 страниц(ы) »
Доступно только на Essays.club