Essays.club - Получите бесплатные рефераты, курсовые работы и научные статьи
Поиск

Формирование конкурентных преимуществ транспортной услуги

Автор:   •  Декабрь 5, 2021  •  Курсовая работа  •  5,220 Слов (21 Страниц)  •  392 Просмотры

Страница 1 из 21

РЕФЕРАТ

Курсовой работы

«Формирование конкурентных преимуществ транспортной услуги»

Объем работы 36 с., в том числе 3 рис., 7 табл., 4 наим. лит.

Ключевые слова: конкуренция, конкурентоспособность, конкурентные преимущества.

В курсовой работе исследуется конкурентоспособность и конкурентные преимущества КУПП «Барановичи коммунтеплосеть».

Внедренные мероприятия позволят повысить конкурентоспособность предприятия, после чего оно будет пользоваться наибольшим спросом и в наибольшей мере будет соответствовать запросам клиентов.

Общая потребность в инвестициях для проведения предложенных мероприятий составит 200 тысяч рублей.

По результатам анализа, можно сделать следующие выводы: создание службы выездных бригад является прибыльным мероприятием и следует принять положительное решение о создании данной службы, так как ожидаемая доходность предприятия за 5 лет составляет 259%.

Период окупаемости данного мероприятия 1 год 6 месяцев.

За 5 лет эксплуатации данное мероприятие принесет 717,47 тыс. рублей.

ОГЛАВЛЕНИЕ

ВВЕДЕНИЕ…………………………………………………………………………5

1 ТЕОРЕТИЧЕСКИЕ ОСНОВЫ ФОРМИРОВАНИЯ КОНКУРЕНТНЫХ ПРЕИМУЩЕСТВ ТРАНСПОРТНЫХ УСЛУГ……………………………….6

1.1 Понятие конкуренции и конкурентных преимуществ………………………..6

1.2 Виды конкурентных преимуществ транспортных услуг…………………….12

1.3 Особенности формирования конкурентных преимуществ транспортных услуг…………………………………………………………………………………15

2 АНАЛИЗ КОНКУРЕНТОСПОСОБНОСТИ ПРЕДПРИЯТИЯ И КОНКУРЕНТНЫХ ПРЕИМУЩЕСТВ НА МАТЕРИАЛАХ КУПП «БАРАНОВИЧИ КОММУНТЕПЛОСЕТЬ»……………………………………………………….21

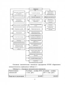
2.1 Организационно-экономическая структура предприятия…………………..21

2.2 Анализ конкурентоспособности предприятия……………………………….25

2.3 Анализ конкурентных преимуществ………………………………………….30

3 ПРЕДЛОЖЕНИЯ ПО ФОРМИРОВАНИЮ КОНКУРЕНТНЫХ ПРЕИМУЩЕСТВ КУПП «БАРАНОВИЧИ КОММУНТЕПЛОСЕТЬ»……33

3.1 Разработка мероприятий по формированию конкурентных преимуществ…33

3.2 Расчет экономической эффективности предложенных мероприятий………33

ЗАКЛЮЧЕНИЕ…………………………………………………………….…..35

СПИСОК ИСПОЛЬЗУЕМЫХ ИСТОЧНИКОВ……………………….…..36

Введение

Современное развитие экономической ситуации в Беларуси и опыт последних лет показывают, что не все автотранспортные предприятия готовы к внедрению конкурентной борьбы. В современных условиях каждому автотранспортному предприятию особенно важно правильно оценить создавшуюся рыночную ситуацию с тем, чтобы предложить продуктивные средства конкуренции, которые, с одной стороны, отвечали бы сложившейся в Беларуси рыночной ситуации и тенденциям ее развития, а с другой – особенностям конкретного производства.

Цель. Предложения по формированию конкурентных преимуществ КУПП «Барановичи коммунтеплосеть»

Задачи. Проведение анализа конкурентоспособности и конкурентных преимуществ и разработка мероприятий по формированию конкурентных преимуществ.

Предмет исследования – конкуренция и конкурентные преимущества.

Объект исследования - КУПП «Барановичи коммунтеплосеть»

Важность конкуренции и конкурентных преимуществ в том, что они укрепляют позиции компаний на рынке, создают перспективу стабильного роста и бесперебойной деятельности, создают трудности для конкурентов которые выходят на рынок.

Актуальность темы обусловлена огромным значением конкурентоспособности в условиях рыночной экономики. От конкурентоспособных преимуществ зависит также и финансовая устойчивость предприятия

1 Теоретические основы формирования конкурентных преимуществ транспортных услуг

1.1 Понятие конкуренции и конкурентных преимуществ

В переводе с латинского "concurrere" — бежать вместе, "concurro" — сталкиваюсь. Эти слова можно понимать как соперничество между людьми в достижении цели.

По всеобщему признанию конкуренция является ключевым звеном всего рыночного механизма и рыночной экономики в целом.

...

Скачать:   txt (87 Kb)   pdf (527.7 Kb)   docx (827.4 Kb)  
Продолжить читать еще 20 страниц(ы) »
Доступно только на Essays.club