Essays.club - Получите бесплатные рефераты, курсовые работы и научные статьи
Поиск

Розвиток системи корпоративного управління підприємством в умовах мінливого зовнішнього середовища на прикладі аеропорт Київ

Автор:   •  Май 22, 2023  •  Дипломная работа  •  23,082 Слов (93 Страниц)  •  288 Просмотры

Страница 1 из 93

План

 Вступ _____________________________________________________________3                                                                                                                    

Розділ1. Теоретичні аспекти розвитку корпоративного управління і вдосконалення      організаційно-виробничих структур в ринковому конкурентному середовищі_________________________________________________________5

  1. Вплив факторів макро-і мікросередовища на діяльність вітчизняних компаній______________________________________________________5
  2. Основні характеристики організаційної структури підприємства та вимоги щодо підвищення рівня її адаптації до вимог ринку________8
  3. Сутність  корпоративної культури і характеристика основних концепцій розвитку організацій________________________________11
  4. Інформація як  продуктивний фактор в системі менеджменту_____14

Розділ2. Аналіз фінансово-економічного стану підприємства_________21

  1. Характеристика державного комунального підприємства          

         Міжнародний аеропорт "Київ" (Жуляни)________________________21                                          

2.2. Організаційна структура КПМА «Київ»__________________________25  

2.3. Аналіз показників обсягів виробництва підприємства______________31

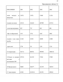
2.4. Аналіз вартісних показників підприємства________________________37

      2.4.1. Аналіз доходів_____________________________________________37

      2.4.2. Аналізвитрат__________________________________________41

2.5. Аналіз вартості обслуговування пасажирів та літаків в

 КПМА«Київ»_____________________________________________________ 47

Розділ3. Практичні рекомендації щодо розвитку корпоративного управління і вдосконалення організаційно-виробничих структур в ринковому конкурентному середовищі________________________________________________________49

3.1.Сутність  корпоративної культури і характеристика основних концепцій розвитку організацій_____________________________________48

3.2. Розвиток корпоративної культури – важливий фактор зміцнення іміджу компанії____________________________________________________52

3.3. Проблеми вдосконалення маркетингового менеджменту в умовах розвитку вітчизняного ринку авіапослуг____________________________55

3.4.Вплив факторів макро-і мікросередовища на діяльність вітчизняних компаній__________________________________________________________58

3.5.Основні характеристики організаційної структури підприємства та вимоги щодо підвищення рівня її адаптації до вимог ринку____________61

3.6. Перспективна оцінка організаційних змін авіакомпаній в умовах поглиблення євроінтеграції_________________________________________64

3.7.  Розроблення  стратегії розвитку авіакомпанії  на засадах маркетингу і розвитку процесів реструктуризації__________________________________70

Висновки_________________________________________________________94

Список використаних джерел_______________________________________97

Література________________________________________________________98

Вступ

          Розроблені в сучасній теорії менеджменту рівноважні й ігрові моделі є більш досконалим способом відображення економічної реальності, так як розглядають економіку як сукупність підсистем, що володіють власним критерієм. Об'єктом дослідження в таких моделях є аналіз умов рівномірного збалансованого росту, коли виробники і споживачі дістають максимальний прибуток у цінах рівноваги . Це припущення так само, як і глобальний критерій оптимальності, у сучасних умовах може виявитися неспроможним. Умови збалансованого росту, коли усі виробники і споживачі дістають максимальний прибуток, не може в принципі бути  реальним мотивом поведінки окремого економічного суб'єкта, і, як наслідок, моделі, побудовані на таких припущеннях, досліджують тільки  очікувані, але далеко не реальні можливості економічного росту. Крім того,  при такій постановці задач припускається абсолютно повна  поінформованість та  узгодженість інтересів та дій економічних агентів, що  в дійсності є проблематичним через наявність комерційної інформації. Далеко не не всі розроблені моделі з  менеджменту   враховують конфліктні ситуації різних ділових партнерів. У зв’язку з вищезазначеним адаптація стає частиною процесу керівництва в системі менеджменту підприємства.

...

Скачать:   txt (277.6 Kb)   pdf (945.7 Kb)   docx (520.9 Kb)  
Продолжить читать еще 92 страниц(ы) »
Доступно только на Essays.club