Essays.club - Получите бесплатные рефераты, курсовые работы и научные статьи
Поиск

Складання прогнозу діяльності організації на основі динамічних рядів

Автор:   •  Июль 19, 2019  •  Лабораторная работа  •  903 Слов (4 Страниц)  •  699 Просмотры

Страница 1 из 4

МІНІСТЕРСТВО ОСВІТИ І НАУКИ УКРАЇНИ

ДОНЕЦЬКИЙ НАЦІОНАЛЬНИЙ ТЕХНІЧНИЙ УНІВЕРСИТЕТ

Звіт

Лабораторна робота №3

По темі: «Складання прогнозу діяльності організації на основі динамічних рядів»

З дисципліни: «Інформаційні системи і технології в обліку та аудиті»

ВАРІАНТ 8

Виконала:

Студентка групи ФБС-16

Яценко Є.І.

Перевірив викладач:

                                                                                  Марина А.С.

                             ПОКРОВСК 2018

Завдання:

Використовуючи електронну таблицю Excel визначити прогноз заданого у вхідних даних динамічного ряду на чотири періоди вперед.

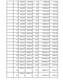
Таблиця 1. Офіційний курс гривні до євро (100 євро)

1996

232,19

2008

770,8

1997

211,29

2009

1086,79

1998

276,76

2010

1053,29

1999

439,33

2011

1109,18

2000

502,89

2012

1027,06

2001

481,36

2013

1061,22

2002

503,01

2014

1571,59

2003

602,44

2015

2422,87

2004

660,94

2016

2622,31

2005

638,99

2017

2842,26

2006

633,69

2018

3349,54

2007

691,79

Розглянемо вирівнювання по прямій лінії, яке здійснюється наступним чином:

уt (теоретичні рівні) = а0 + а 1t, де t - умовне позначення часу, а0 і а1 - параметри шуканої прямої, які знаходяться з рішення системи рівнянь:

na0 + a 1Σt = Σy;

a 0Σt + a 2Σt2 = Σyt; де y - фактичні рівні; n - число рядів динаміки. Для спрощення системи початок відліку часу треба перенести в середину розглянутого періоду,тоді:

a0 = Σy / n; a1 = Σyt / Σt2.

Підставляючи отримані значення a0 і a1 в формулу, обчислюємо всі значення теоретичного рівня:

a0 = 24791,59/24= 1077,90

a1 = 115395,9/1012=114,03

уt =  1077,90+114,03 t

Перевіримо отримані значення за допомогою функції ЛІНЕЙН()

[pic 1]

Рис1.- Аргументи функції ЛІНЕЙН().

a0 = ЛИНЕЙН(B2:B28;C2:C28)= 1077,90

a1 = ЛИНЕЙН(B2:B28;C2:C28)=114,03

Розрахуємо прогнозне значення курсу гривні до євро на наступні 4 періоди (2019-2022рр.). Для цього треба підставити t- умовне позначеня часу у функцію теоритичного рівня уt. Отримуємо:

Таблиця 2.- Розрахунок прогнозного значення курсу гривні.

у

t

2019

=$M$20+$L$20*C25=2446,225

12

2020

=$M$20+$L$20*C26=2560,253

13

2021

=$M$20+$L$20*C27=2674,28

14

2022

=$M$20+$L$20*C28=2788,31

15

Далі використовуємо метод плинного середнього з інтервалом сглажування k=3 за формулою:. Перевіряємо отримані значення за допомогою Аналізу данних → Плинне середнє. [pic 2]

...

Скачать:   txt (19.7 Kb)   pdf (524.6 Kb)   docx (1.4 Mb)  
Продолжить читать еще 3 страниц(ы) »
Доступно только на Essays.club