Essays.club - Получите бесплатные рефераты, курсовые работы и научные статьи
Поиск

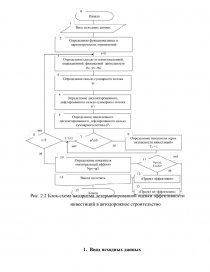
Обоснование эффективности инвестиций в строительство участка автомобильной дороги

Автор:   •  Июль 13, 2021  •  Курсовая работа  •  8,325 Слов (34 Страниц)  •  529 Просмотры

Страница 1 из 34

ФЕДЕРАЛЬНОЕ АГЕНТСТВО ЖЕЛЕЗНОДОРОЖНОГО ТРАНСПОРТА

Федеральное государственное бюджетное  образовательное учреждение

высшего образования

«Петербургский государственный университет путей сообщения

Императора Александра I»

 (ФГБОУ ВО ПГУПС)

Факультет «Экономика и Менеджмент»

Кафедра «Экономика и менеджмент в строительстве.»

Направление шифр 38.03.01 «Экономика»

«Экономика предприятий и организаций (строительство)»

КУРСОВАЯ РАБОТА

по дисциплине

« ЭФФЕКТИВНОСТЬ  ИНВЕСТИЦИЙ И ИНВЕСТИЦИОННЫХ ПРОЕКТОВ»

на тему: «Обоснование эффективности инвестиций в строительство участка автомобильной дороги»

Форма обучения – очная

Вариант:

Выполнил обучающийся

Курс 3

Группа -

             

__________________

подпись, дата

Руководитель

__________________

подпись, дата

                             

                           

Санкт-Петербург

2021


ФЕДЕРАЛЬНОЕ АГЕНТСТВО ЖЕЛЕЗНОДОРОЖНОГО ТРАНСПОРТА

Федеральное государственное бюджетное образовательное учреждение

высшего образования

 «Петербургский государственный университет путей сообщения

Императора Александра I»

 (ФГБОУ ВО ПГУПС)

Факультет «Экономика и Менеджмент»

Кафедра «Экономика и менеджмент в строительстве.»

Направление шифр 38.03.01 «Экономика»

«Экономика предприятий и организаций (строительство)»

Задание на выполнение курсовой работы

по дисциплине

«ЭФФЕКТИВНОСТЬ  ИНВЕСТИЦИЙ И ИНВЕСТИЦИОННЫХ ПРОЕКТОВ»

 

Тема: Обоснование эффективности инвестиций в строительство участка автомобильной дороги»

Срок сдачи обучающимся законченной работы: 22 мая 2021 года

Исходные данные для выполнения проекта:

  1. Исходные данные по обоснованию эффективности инвестиций в строительство участка автомобильной дороги

наименование

Ед. измер.

Значение

1

2

3

1

вариант

12

2

Существующая интенсивность движения: 

2.1.

 Легковых автомобилей

 тыс. авт/сут

 105

2.2.

 Грузовых автомобилей

 тыс. авт/сут

 39

3

Темп ежегодного прироста интенсивности: 

3.1.

 Грузовой транспорт

 % в год

 1,2

3.2.

 Легковой транспорт

 % в год

 1,3

4

 Технические характеристики участка

 

 

4.1.

Категория дороги 

 

 

4.2.

 Строительная длина

 км

 20

4.3.

 Расчетная скорость /скорость базовая

 км/ч

 120/110

4.4.

 Число полос движения

 полоса

 2

4.5.

 Ширина проезжей части

 м

 7,5

4.6.

 Ширина обочин

 м

<2,5

4.7.

 Продольный уклон, %

 %

 >30

4.8.

 Радиусы кривых в плане

 м

 >350

4.9.

 Видимость в плане и профиле

 м

 <250

4.10.

 Мосты с бордюрами высотой

 см

 <30

4.11.

 Пересечения в одном уровне

 

 -

4.12.

 Пересечения в разных уровнях

 

 -

4.13.

 Населенные пункты

 

 +

4.14.

 Деревья на обочине и разделит. полосе

 

 -

5

 Объем капитальных вложений

 млн.руб.

 12132

6

 Срок строительства

 лет

 4

7

 Ежегодные затраты на содержание

 руб/м2

 104

8

 Годовые затраты на ремонт дороги

 руб/м2

 361

9

 Годовые затраты на капитальный ремонт

 руб/м2

 1691

10

Фактор 1 Изменение интенсивности движения легковых автомобилей на шаге расчета tвэ 

10.1.

 Математическое ожидание

 тыс. авт/сут

 112,00

10.2.

 Среднеквадратическое отклонение

 тыс. авт/сут

 0,89

11

Фактор 2 Изменение интенсивности движения грузовых автомобилей на шаге расчета tвэ 

11.1.

 Математическое ожидание

 тыс. авт/сут

 39,99

11.2.

 Среднеквадратическое отклонение

 тыс. авт/сут

 1,06

...

Скачать:   txt (95.8 Kb)   pdf (1.8 Mb)   docx (1.8 Mb)  
Продолжить читать еще 33 страниц(ы) »
Доступно только на Essays.club