Essays.club - Получите бесплатные рефераты, курсовые работы и научные статьи
Поиск

Расчетная работа по летно-техническим характеристикам самолета

Автор:   •  Декабрь 23, 2019  •  Методичка  •  2,352 Слов (10 Страниц)  •  645 Просмотры

Страница 1 из 10

МЕТОДИЧЕСКИЕ УКАЗАНИЯ

ПО РАСЧЁТУ ЛЁТНО-ТЕХНИЧЕСКИХ ХАРАКТЕРИСТИК САМОЛЁТА


Прежде чем приступить к выполнению расчётной работы необходимо в соответствии с номером задания (по журналу) выписать из таблицы 1 исходные данные. Расчёты для построения графиков рекомендуется проводить, используя программу MS Excel 7.0 и выше. По каждому разделу проводится анализ, делаются выводы и предложения по улучшению лётно-технических характеристик самолёта.

1. Высотно-скоростные и дроссельные характеристики двигателя

Высотно-скоростные характеристики самолётов определяются в зависимости от потребной тяги двигателя Р и удельного часового расхода топлива Се, которые в свою очередь зависят от скорости (определяемой числом М) и высоты полета (Н, км) при номинальном режиме работы двигателя. Режим работы двигателя определяется степенью дросселирования [pic 1].

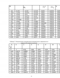
        1.1. По таблице 3, определяются относительные значения распологаемой тяги дозвуковых самолётов в диапазоне М=0,2…0,85 (максимальное значение М для конкретного типа самолёта представлено в задании) и высоты полёта (H=0÷11 км). [pic 2]

По значениям строится график, по которому делаются выводы.[pic 3]

1.2 Определяются абсолютные значения потребной тяги двигателя для каждого диапазона скоростей (М) и высот (Н):

  [H]                                (1)[pic 4]

где - относительное начальное значение тяговооруженности при М=Н=0 в номинальном режиме работы двмгателя (таб. 1), [pic 6] – взлётный вес самолета, кг, (таб.1), g – ускорение свободного падения, м/с2.[pic 5]

Значения  необходимо представить в таблице.[pic 7]

1.3 Определяется удельный часовой расход топлива , который также зависит от скорости М и высоты полёта Н и ещё от степени дросселирования :[pic 8][pic 9]

[pic 10],                        (2)

где,  – начальные значения удельного часового расхода топлива при H=M=0 на номинальном режиме работы двигателя, [pic 12] (приведены в таб.1);[pic 11]

  – относительное значение удельного часового расхода топлива на номинальном режиме (см. таб.5);[pic 13]

  – дроссельная характеристика дозвукового двухконтурного ТРД со степенью двухконтурности m=1…3 и степенью сжатия π*к=15…19 (таб.4).[pic 14]

Значения  необходимо представить в таблице. [pic 15]

По значениям ,  строятся графики, по которым делаются выводы.[pic 16][pic 17]

        1.4 Определяется удельный часовой расход топлива и тяга двигателя на:

- режиме малого газа двигателя

[pic 19]                (3)[pic 18]

- взлетном режиме (при М=

[pic 20]                        (4)

- в режиме реверса тяги:

[pic 21]                                        (5)

[pic 22]                                                        (6)

2. Аэродинамические характеристики

2.1 Для дальнешего расчета ЛТХ необходимо определить коэффициенты лобового сопротивления и подъёмной силы по формулам:

[pic 23][pic 24]                 (7)

где [pic 25](М) – минимальное значение коэффициента лобового сопротивления, зависящее от скорости полёта; A (М) – коэффициент отвала поляры; [pic 26](М) минимальный коэффициент подъемной силы; [pic 27] (М) – производная коэффициента подъемной силы по углу атаки; [pic 28] (М) – угол атаки.

Значения коэффициентов представлены в приложении 1 таблицы №2.

2.2 По данным этих значений строятся графики зависимостей [pic 29](М), [pic 30](М), [pic 31] (М), A (М), [pic 32] (М). Причём, по оси абсцисс откладываются значения числа М. Для более наглядного представления графиков, их строят в пределах одного диапазона величин, т.е. [pic 33](М)·10, [pic 34](М)·10, [pic 35] (М)·10-1, A (М), [pic 36] (М) ·10-2.

...

Скачать:   txt (23.5 Kb)   pdf (3.2 Mb)   docx (3 Mb)  
Продолжить читать еще 9 страниц(ы) »
Доступно только на Essays.club