Essays.club - Получите бесплатные рефераты, курсовые работы и научные статьи
Поиск

Технологія спирту з використанням комплексних ферментних препаратів

Автор:   •  Июнь 13, 2019  •  Курсовая работа  •  9,115 Слов (37 Страниц)  •  639 Просмотры

Страница 1 из 37

ЛЬВІВСЬКИЙ ТОРГОВЕЛЬНО ЕКОНОМІЧНИЙ УНІВЕРСИТЕТ

Кафедра харчових технологій

ПОЯСНЮВАЛЬНА ЗАПИСКА

до курсової роботи з дисципліни

на тему:

 Технологія спирту з використанням комплексних ферментних препаратів

Студент групи__Савчук А.В._

(прізвище та ініціали,підпис,дата)

                                                                       Керівник __Бліщ Р.О.____

(прізвище та ініціали,підпис,дата)

                        Комісія: ____________________________

___________________________

____________________________

 

Львів –2019


ЗМІСТ

ЗМІСТ

ВСТУП

  1. Значення продукту у харчуванні.
  2. Асортимент і характеристика сировини для одержання продукту.
  3. Технологічна частина.
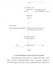
  1. Принципова-технологічна схема.
  2. Опис принципово-технологічної схеми та режиму.
  3. .Характеристика технологічних стадій.
  1. Вимоги згідно НТД

Висновки

Список використаної літератури.

ВСТУП

  Спиртова галузь представляє собою одну із найбільших, науково та технічно розвинутих промисловостей.

 Етиловий спирт - основний продукт - знаходить широке застосування.

Харчова галузь - це головний споживач: спирт використовують при виготовленні лікеро-горілчаних виробів, плодово-ягідних вин, для кріплення виноматеріалів   і   купажування   виноградних   вин,   в   виробництві   оцту, харчових ароматизаторів ті парфумо-косметичних виробів.

В мікробіологічній та медичній промисловості спирт необхідне для осодження ферментних препаратів із культуральної рідини або екстракту із твердо фазної культури для отримання вітамінів і інших препаратів і ліків.

Невелика кількість спирту використовується в хімічній, машинобудівній, і інших галузях промисловості.

Таким чином, спиртова галузь тісно пов'язана, з одного боку із багатьма галузями народного господарства, для якого спирт слугує сировиною, основним і допоміжним матеріалом, з другого - з сільським господарством. Отримуючи від сільськогосподарської галузі сировину і беручи з неї вуглеводи , спиртова галузь повертає їй білкові вітамінні корми.

Спиртова   галузь   являється   єдиною   галуззю,   що   має   можливість перетворювати дефектне зерно і картоплю в доброякісний продукт. 

Сучасні  напрямки розвитку технології спирту ставлять такі завдання, як підвищення концентрації сусла, проведення бродіння при підвищених температурах і підвищеній міцності в бражці, забезпечення дальнішого скорочення собівартості спирту за рахунок економії сировини, палива і електроенергії. Використання спиртових дріжджів нового покоління дасть можливість не тільки інтенсифікувати процес бродіння, але й підвищити якість спирту.

Для підвищення ефективності переробки зерна на спирт необхідно подальше удосконалення біотехнологічних процесів спиртового виробництва, а саме: використання мультиензимних комплексів для ефективного гідролізу високомолекулярних полімерів зернової сировини; скринінг нових фізіологічно активних рас дріжджів з термотолерантними і осмофільними властивостями для інтенсифікації спиртового бродіння і підвищення якості спирту; створення комплексних технологій переробки зерна, що включають переробку відходів спиртового виробництва в харчові і кормові добавки.

Суттєвий вплив на формування смаку і аромату спирту мають летючі домішки, які утворюються в процесі бродіння і повністю не видалені при ректифікації.

В курсовій роботі поставлене завдання вивчення технології спирту з використанням комплексних ферментних препаратів.

1.Значення продукту у харчуванні.

Етанол має широкий спектр застосувань, серед яких найбільш значущими є виробництво спиртних напоїв, використання як розчинника, палива, а також синтез інших хімічних речовин.

Розчинник

Етанол є найбільш важливим розчинником після води. Його основним застосуванням є виробництво косметики, парфумів, поверхнево-активних речовин та дезінфектантів, фармацевтичних препаратів, різних покриттів. Для цих потреб застосовується етанол як синтетичного, так і ферментативного походження.

...

Скачать:   txt (125.3 Kb)   pdf (545.7 Kb)   docx (73.6 Kb)  
Продолжить читать еще 36 страниц(ы) »
Доступно только на Essays.club