Essays.club - Получите бесплатные рефераты, курсовые работы и научные статьи
Поиск

Управлінський облік за центрами відповідальності банку

Автор:   •  Май 26, 2019  •  Курсовая работа  •  5,640 Слов (23 Страниц)  •  562 Просмотры

Страница 1 из 23

Міністерство освіти і науки України

Сумський державний університет

Навчально-науковий інститут бізнес-технологій «УАБС»

Кафедра бухгалтерського обліку та оподаткування

КУРСОВА РОБОТА

з дисципліни «Управлінський облік»

на тему: «УПРАВЛІНСЬКИЙ ОБЛІК ЗА ЦЕНТРАМИ ВІДПОВІДАЛЬНОСТІ БАНКУ»

Виконав:        студент Кулинич С.В.

                     групи ОА-51а

Перевірив:        д.е.н., професор

                             Савченко Т.Г.

Суми – 2018

ЗМІСТ

ВСТУП        3

РОЗДІЛ 1. ТЕОРЕТИЧНІ ОСНОВИ ОБЛІКУ І КОНТРОЛЮ ЗА ЦЕНТРАМИ ВІДПОВІДАЛЬНОСТІ        5

1.1.Концепція організації обліку та оцінки діяльності центрів відповідальності.        5

1.2 Типи центрів відповідальності        9

РОЗДІЛ 2. ОРГАНІЗАЦІЯ  ДІЯЛЬНОСТІ ЦЕНТРІВ ВІДПОВІДАЛЬНОСТІ В АТ «РАЙФФАЙЗЕН БАНК АВАЛЬ»        15

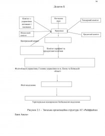
2.1. Організаційно-економічна характеристика АТ «Райффайзен Банк Аваль»        15

2.2. Аналіз фінансового стану АТ «Райффайзен Банк Аваль»        17

РОЗДІЛ 3. ШЛЯХИ ВДОСКОНАЛЕННЯ ОБЛІКУ І КОНТРОЛЮ ЗА ЦЕНТРАМИ ВІДПОВІДАЛЬНОСТІ        20

3.1. Рекомендації, щодо формування центрів відповідальності банку        20

ВИСНОВКИ        25

СПИСОК ВИКОРИСТАНОЇ ЛІТЕРАТУРИ        27

ДОДАТКИ        30

ВСТУП

Управління економічними процесами в установах незалежно від форм власності потребує поліпшення. Зростання кількості джерел оперативної інформації  сприяє необхідності приймати значну кількість адміністративних рішень, які створюють деякі проблеми. Децентралізована система управління є одним із варіантів вирішення цих проблем

Децентралізація управління – це система, що дозволяє керівникам
структурних підрозділів самостійно приймати та виконувати рішення,
які належать  галузіі їх відповідальності.

На сьогоднішній день облік за центрами відповідальності допомагає у виявленні загальної суми економії ресурсів, що споживаються, та визначити, кому належить заслуга в досягненні економії, на якому підрозділі та через чию вину визнано перевитрату. Це сприяє, з одного боку, зростанню рівня відповідальності управляючих на підрозділі, а з іншого – більшій впевненості та ініціативі у прийнятті тих або інших управлінських рішень.

Центри відповідальності контролюють фінансовий стан і пов’язують кінцеві показники діяльності з керівниками департаментів підприємства. Також вони розглядають і виконують задачі координації, розподілу відповідальності і мотивації всіх підрозділів, щоб досягти стратегічні цілі підприємства.

Отже, здійснення обліку витрат за центрами відповідальності є об’єктивно необхідним.

Мета курсової роботи - визначення характерних ознак обліку та витрат за центрами відповідальності та обгрунтування для їх вдосконалення.

Для досягнення даної мети необхідно вирішити наступні завдання:

  • визначити поняття “доходи” та “витрати”;
  • визначети характерні особливості побудови обліку витрат та доходів на АТ «Райффайзен Банк Аваль»;
  • створити рекомендації для вдосконалення організаційної структури управління банком в умовах ведення обліку, управління та контролю за центрами відповідальності;
  • дослідити методи калькулювання витрат та розподілу доходів за центрами відповідальності при умовах трансфертного ціноутворення;
  • показати характерні  методи для аналізу витрат та доходів;
  • обґрунтувати результати дослідження в умовах конкретного банку.

Об’єкт дослідження - сучасний стан управління витратами та доходами

Предметом дослідження є загальний облік та аналіз витрат і доходів, як система елементів управління АТ «Райффайзен Банк Аваль».

РОЗДІЛ 1. ТЕОРЕТИЧНІ ОСНОВИ ОБЛІКУ І КОНТРОЛЮ ЗА ЦЕНТРАМИ ВІДПОВІДАЛЬНОСТІ

1.1.Концепція організації обліку та оцінки діяльності центрів відповідальності

У зарубіжній і вітчизняній теорії і практиці управлінського обліку не існує єдиної думки щодо термінів, понять та самої назви системи “управлінський облік”. Це пояснюється різними історичними особливостями розвитку і запровадження управлінського обліку в окремих країнах.

...

Скачать:   txt (77.7 Kb)   pdf (461.1 Kb)   docx (180 Kb)  
Продолжить читать еще 22 страниц(ы) »
Доступно только на Essays.club