Essays.club - Получите бесплатные рефераты, курсовые работы и научные статьи
Поиск

Впровадження нової продукції

Автор:   •  Март 27, 2023  •  Курсовая работа  •  14,713 Слов (59 Страниц)  •  308 Просмотры

Страница 1 из 59

[pic 1]

ВСТУП

Актуальність теми дослідження. В умовах посиленої конкурентної боротьби виробників кондитерських виробів на ринках збуту продукції, підприємствам важко втримати свою позицію. Темпи розвитку кондитерською промисловості безупинно збільшуються, чи не кожного дня в світі з’являється нова продукція. Виробник, який розраховує довготривалий час зберігати свої позиції на ринку і мати прибутки, повинен безперервно оновлювати пропозицію. В оновлення пропозиції входять різні дії щодо розроблення нових товарів: вдосконалення існуючої лінії товарів, виробництво нових і збільшення кількості брендів. Саме впровадження нової продукції є одним з найкращих способів просування підприємства на ринку. Нова продукція має бути особливою, орієнтована на потреби споживачів, поєднувати в собі, перш за все, якість та адекватну ціну.

Здійснення заходів відносно впровадження нової продукції має  відображатися в відповідному проекті. Розробки проекту та бажання досягнути поставленої мети не достатньо для реалізації дій.  Необхідно обґрунтувати необхідність та доцільність проекту, розрахувати інвестиційну привабливість та ефективність від впровадження, а вже потім реалізовувати.

Визначенню теоретичних аспектів підвищення конкурентоспроможності присвятили свою працю такі вітчизняні  та  закордонні   вчені   й   економісти,   як Азоев Г.Л., Арнаут І.П., Бєлєнький П.Ю, Васильева З.А., Ермолов М.О., Калашникова Л.М., Клименко С.М., Маренич А., Портер M.E., Скударь Г.М., Фатхутдинов Р.А., Ярошенко С.П. та інші. У цих наукових працях розглядаються підходи дефініції конкурентоспроможності підприємства та продукції, класифікації факторів впливу, резерви підвищення та ефективного управління конкурентоспроможністю на підприємстві.

Орієнтуючись на вищесказане, на нашу думку, обрана тема дослідження є багатосторонньою і актуальною в нинішній, доволі важкій, економічній ситуації, в якій опинилися підприємства кондитерської промисловості.

Мета роботи полягає в розробці заходів, спрямованих на підвищення рівня конкурентоспроможності, та обґрунтуванні проекту «Впровадження нової продукції» на  досліджуваному підприємстві на основі теоретичних і аналітичних досліджень.

Мета роботи визначила коло поставлених завдань, рішення яких представлено в окремих розділах роботи.

Завдання роботи:

  • обґрунтувати необхідність дослідження проблеми підвищення конкурентоспроможності підприємства
  • проаналізувати підходи до визначення понять «конкурентоспроможність підприємства» та «конкурентоспроможність продукції»;  
  • дослідити класифікації факторів, що впливають на конкурентоспроможність;
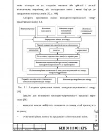
  • визначення алгоритму проведення оцінки конкурентоспроможності;
  • проаналізувати параметри та показники конкурентоспроможності продукції;
  • визначити умови ефективного управління конкурентоспроможністю підприємства;
  • визначити характеристики досліджуваного підприємства;
  • провести розрахунок основних показників фінансово-економічної діяльності підприємства за 2018 та 2019 роки;
  • провести розгорнутий аналіз діяльності підприємства та виявлення його резервів та можливостей;
  • обґрунтувати доцільність реалізації та цілей проекту;
  • провести техніко-економічне обґрунтування проекту;
  • провести аналіз маркетингових, технічних та соціально-екологічних аспектів проекту;
  • розрахувати інвестиційні витрати за проектом та визначити показники інвестиційної привабливості проекту;
  • проаналізувати вплив проекту на основні показники діяльності підприємства.

Досліджуване підприємство  -  ПрАТ «Домінік» - українська компанія з виробництва кондитерських виробів широкого асортименту.

Не дивлячись на давню історію (з 1918 р), на сьогоднішній день це сучасне підприємство з модернізованим виробництвом, який відповідає міжнародним стандартам.

Завдяки цьому продукція з 2006 року продається на європейському ринку. На сьогоднішній день географія продажів продукції значно розширилася, а це значить, що її якість відповідає вимогам сертифікації: ISO 22000: 2005, IFS FOOD, ISO 9001 діє до: 2015. Так само підприємство має сертифікати «HALAL» і «UTZ Cocoa». Ця продукція представлена ​​і на ринку України.

...

Скачать:   txt (221.7 Kb)   pdf (836.9 Kb)   docx (1.1 Mb)  
Продолжить читать еще 58 страниц(ы) »
Доступно только на Essays.club