Essays.club - Получите бесплатные рефераты, курсовые работы и научные статьи
Поиск

Разработка и управление проектом по модернизации (усовершенствованию) оборудования на предприятии ООО «ЭПК»

Автор:   •  Июнь 9, 2019  •  Курсовая работа  •  8,038 Слов (33 Страниц)  •  788 Просмотры

Страница 1 из 33

Министерство образования и науки Российской Федерации

ФГАОУ ВО «государственный университет»

Кафедра Экономики предприятия

                                                                                                   (полное название кафедры)

КУРСОВОЙ ПРОЕКТ

(РАБОТА)

по дисциплине

Инвестиционное проектирование и моделирование (часть 2)

                                                 (название дисциплины)

на тему:

Разработка и управление проектом по модернизации (усовершенствованию) оборудования на предприятии ООО «ЭПК»

Студента(ки)

4

курса

Эк/б-48о

группы

направления

38.03.01 – Экономика

профиля

Экономика предприятий и

организаций

Колобанова О.В.

                                  (фамилия и инициалы)

Руководитель

Резаев А.А.

Ст. преподаватель кафедры ЭП

                                                                                                                      (должность, ученое звание, научная степень, фамилия и инициалы)

Национальная шкала ______________________

Количество балов: ______Оценка: ECTS _____

Члены комиссии

                                                                                                                                        (подпись)                                  (фамилия и инициалы)

                                                                                                                                        (подпись)                                   (фамилия и инициалы)

                                                                                                                                         (подпись)                                   (фамилия и инициалы)

г. Севастополь – 2018 год

СОДЕРЖАНИЕ

ВВЕДЕНИЕ…………………………………………………………………...………………….3

ХАРАКТЕРИСТИКА ВНУТРЕННЕЙ И ВНЕШНЕЙ СРЕДЫ ПРОЕКТА……………….4

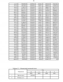
1.1 Характеристика финансового состояния предприятия ООО «ЭПК»……………………4

1.2 Характеристика проекта строительства цеха по комплексному обеспечению электротехнических работ……………………………………………………………………..14

1.3 Характеристика внешней среды проекта…………………………………………….…...17

2 ПЛАНИРОВАНИЕ СОДЕРЖАНИЯ ПРОЕКТА СТРОИТЕЛЬСТВА ЦЕХА ………….20

2.1 Структурная декомпозиция работ…………………………………………………..….….20

2.2Управление временем проекта………………………………………………………..…....24

2.3 Календарное и бюджетное планирование……………………………………………..….29

3 ОЦЕНКА КОММЕРЧЕСКОЙ ЭФФЕКТИВНОСТИ ПРОЕКТА………………………….35

ЗАКЛЮЧЕНИЕ…………………………………………………………………………………43

БИБЛИОГРАФИЧЕСКИЙ СПИСОК………………………………………………………...44

ПРИЛОЖЕНИЯ А………………………………………………………………….…………..46

ПРИЛОЖЕНИЯ Б……………………………………………………………………………....47

ВВЕДЕНИЕ

Управление проектами является частью системы менеджмента на предприятиях.

Управление проектами представляет собой область деятельности, в ходе которой определяются и достигаются определенные цели проекта при балансировании между объёмом работ, ресурсами (такими как деньги, труд, материалы, энергия, пространство и проч.), временем, качеством и рисками. Ключевым фактором успеха проектного управления является наличие чёткого заранее сформулированного плана, минимизации рисков и отклонений от плана, эффективного реагирования на изменения (в отличие от процессногофункционального управленияуправления уровнем услуг).

...

Скачать:   txt (118.4 Kb)   pdf (1.2 Mb)   docx (871.2 Kb)  
Продолжить читать еще 32 страниц(ы) »
Доступно только на Essays.club