Essays.club - Получите бесплатные рефераты, курсовые работы и научные статьи
Поиск

Державні фінанси в умовах воєнного стану

Автор:   •  Май 28, 2023  •  Курсовая работа  •  6,725 Слов (27 Страниц)  •  307 Просмотры

Страница 1 из 27

МІНІСТЕРСТВО ОСВІТИ І НАУКИ УКРАЇНИ

ЛЬВІВСЬКИЙ НАЦІОНАЛЬНИЙ УНІВЕРСИТЕТ ІМЕНІ ІВАНА

ФРАНКА

Факультет управління фінансами та бізнесу

Кафедра фінансового менеджменту

КУРСОВА РОБОТА

зі спеціалізації «Фінанси, митна та податкова справа»

на тему:

« Державні фінанси в умовах воєнного стану »

Галузь знань 07 «Управління та адміністрування»

спеціальність: 072 «Фінанси, банківська справа та страхування»

освітній ступінь: «бакалавр» 

Науковий керівник:                                                       студент гр. УФФ-42

к.е.н., доц. Західна О.Р.                                                 Молдован Ю.Ю.

____________________                                          ____________________   

(підпис)                                                                    (підпис)

 «____»___________ 2022 р.                                 «____»___________ 2022 р.

Загальна кількість балів _____ ____________________________________ 

(підпис, ПІП членів комісії)

Львів 2023р.

Зміст

Вступ        3

РОЗДІЛ 1. ТЕОРЕТИЧНІ АСПЕКТИ ФОРМУВАННЯ ДЕРЖАВНИХ ФІНАНСІВ В УМОВАХ ВОЄННОГО СТАНУ        5

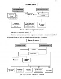
1.1.Державні фінанси як об’єкт управління        5

1.2. Особливості формування державних фінансів        10

1.3. Фінансова політика держави в умовах воєнного стану        15

РОЗДІЛ 2. АНАЛІЗ ДЕРЖАВНИХ ФІНАНСІВ В УМОВАХ ВОЄННОГО СТАНУ        18

2.1. Особливості формування доходів державного бюджету в умовах воєнного стану        18

2.2. Аналіз виконання державного та місцевих бюджетів в період війни        22

2.3. Державне регулювання фінансової безпеки в умовах воєнного стану        26

РОЗДІЛ 3.  ПРОБЛЕМНІ АСПЕКТИ ФОРМУВАННЯ ДЕРЖАВНИХ ФІНАНСІВ В УМОВАХ ВОЄННОГО СТАНУ ТА НАПРЯМИ ВДОСКОНАЛЕННЯ ЇХ РОЗВИТКУ        31

Висновки        35

Cписок використаної літератури        36


Вступ

Актуальність теми. Військові конфлікти є надзвичайно складними викликами для країни та її економіки. Воєнний стан може мати серйозний вплив на фінансовий стан держави, який може змінюватися швидко та несподівано. Воєнний стан може спричинити зниження доходів держави через скорочення виробництва та розвитку бізнесу, збільшення витрат на оборону та національну безпеку, а також збільшення витрат на соціальний захист та допомогу населенню. У таких умовах держава повинна знаходити ефективні способи збільшення доходів та зниження витрат, щоб забезпечити стабільність державних фінансів. Крім того, умови воєнного стану можуть потребувати збільшення видатків на військову техніку та озброєння, а також на фінансування різних програм для підтримки національної безпеки. Тому держава повинна бути готовою до збільшення витрат на оборону та національну безпеку в умовах воєнного стану, а також забезпечувати ефективне використання цих ресурсів.

Умови воєнного конфлікту вимагають від урядів країн приймати рішення про виділення додаткових фінансових ресурсів для забезпечення потреб військових операцій та для реалізації заходів з підвищення безпеки. Одночасно, воєнний конфлікт може призвести до зменшення економічної активності, скорочення бізнес-діяльності, зменшення інвестицій та збільшення безробіття. Усі ці фактори можуть вплинути на фінансову стабільність країни та призвести до зменшення здатності держави забезпечувати соціальні та економічні потреби населення. Отже, тема "Державні фінанси в умовах воєнного стану" є дуже важливою та актуальною для сучасного світу, оскільки вона дозволяє розуміти, як воєнний конфлікт впливає на фінансову стабільність країни та як країни можуть забезпечити стабільність своїх державних фінансів в умовах військових дій.

...

Скачать:   txt (91.2 Kb)   pdf (1.6 Mb)   docx (1.6 Mb)  
Продолжить читать еще 26 страниц(ы) »
Доступно только на Essays.club