Essays.club - Получите бесплатные рефераты, курсовые работы и научные статьи
Поиск

Організація та управління фінансами підприємств

Автор:   •  Май 18, 2018  •  Курсовая работа  •  8,233 Слов (33 Страниц)  •  812 Просмотры

Страница 1 из 33

МІНІСТЕРСТВО ОСВІТИ І НАУКИ УКРАЇНИ

ДЕРЖАВНИЙ ВИЩИЙ НАВЧАЛЬНИЙ ЗАКЛАД

«ДОНЕЦЬКИЙ НАЦІОНАЛЬНИЙ ТЕХНІЧНИЙ УНІВЕРСИТЕТ»

Кафедра обліку, фінансів та економічної безпеки

КУРСОВА РОБОТА

з дисципліни «Фінанси підприємств»

на тему:

«ОРГАНІЗАЦІЯ ТА УПРАВЛІННЯ ФІНАНСАМИ ПІДПРИЄМСТВ»

Студента 3 курсу, групи ФПР-15

Напряму підготовки «Фінанси і кредит»

Мась Р. В. _________________________

Керівник: Антоненко В. М.

___________________________________

Покровськ – 2017 рік


ЗМІСТ

ВСТУП        3

РОЗДІЛ 1. ТЕОРЕТИЧНІ ОСНОВИ УПРАВЛІННЯ  ФІНАНСАМИ ПІДПРИЄМСТВ        5

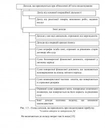
1.1. Зміст та завдання управління фінансами підприємств        5

1.2. Чинний порядок оподаткування прибутку підприємства        9

1.3. Фінансовий план як вираження фінансового планування: його зміст та порядок складання        13

РОЗДІЛ 2. АНАЛІЗ ФІНАНСОВОГО СТАНУ  НА ПРИКЛАДІ ПрАТ «МИРГОРОДСЬКИЙ ЗАВОД МІНЕРАЛЬНИХ ВОД»        20

2.1.  Загальна характеристика приватного акціонерного товариства «Миргородський завод мінеральних вод»        20

2.2. Аналіз основних показників ПрАТ «Миргородський завод мінеральних вод»        22

2.3. Оцінювання запасу фінансової стійкості та дослідження впливу операційного важеля на зміни обсягів прибутку підприємства        29

2.4. Фінансове планування операційної діяльності ПрАТ «Миргородський завод мінеральних вод» в середньостроковій перспективі        34

ВИСНОВКИ        37

СПИСОК ВИКОРИСТАНИХ ДЖЕРЕЛ        39

ДОДАТКИ        41


ВСТУП

Фінанси підприємств є основою функціонування фінансової системи країни, так як мають значний вплив на її фінансовий стан. Покращення фінансової діяльності суб’єктів господарювання є запорукою покращення і фінансового стану країни.  Фінансова діяльність підприємств є основним питанням фінансів підприємств, яке дуже широке. Тому в наш час для розвитку системи фінансової діяльності підприємств варто приділити особливу увагу таким актуальним питанням, як управління фінансами підприємств, оподаткування прибутку підприємств та фінансове планування на підприємстві.

Метою курсової роботи є вивчення основних питань фінансів підприємств та аналіз фінансового стану та складання фінансового плану на прикладі підприємства.

Поставлена мета зумовлює виконання таких завдань:

  • розглянути завдання та сутність управління фінансами підприємств;
  • висвітлити порядок оподаткування прибутку підприємства;
  • розглянути зміст фінансового планування та визначити основні етапи складання фінансового плану;
  • проаналізувати основні показники фінансового стану підприємства на прикладі ПрАТ «Миргородський завод мінеральних вод»;
  • виявити вплив операційного важеля на зміни обсягів прибутку підприємства;
  • скласти середньостроковий фінансовий план операційної діяльності підприємства.

Об’єктом дослідження курсової роботи є фінанси підприємств.

Предметом дослідження є основні питання функціонування фінансів підприємств.

Під час написання курсової роботи було використано методи наукового дослідження експериментально-теоретичного рівня (аналіз та синтез), теоретичного рівня (порівняння, узагальнення), математичні (розрахунок), статистичні (збір та обробка статистичних даних) та методи фінансового аналізу – для оцінки фінансового стану ПрАТ «Миргородський завод мінеральних вод» (коефіцієнтний метод) тощо.

...

Скачать:   txt (121.6 Kb)   pdf (737.7 Kb)   docx (316 Kb)  
Продолжить читать еще 32 страниц(ы) »
Доступно только на Essays.club