Essays.club - Получите бесплатные рефераты, курсовые работы и научные статьи
Поиск

Предприятие электронной коммерции

Автор:   •  Апрель 16, 2018  •  Практическая работа  •  565 Слов (3 Страниц)  •  703 Просмотры

Страница 1 из 3

Раздел 1.

Предприятие электронной коммерции.

Коммерческая организация, которая может предоставлять населению (физическим лицам) денежные займы путем оформления заявок через интернет и передачей денег при посещении офиса, имеет свой сайт и базу данных клиентов.

Цель предприятия: экспансия рынка микрокредитования, предоставление финансовой помощи населению, бесперебойная работа предприятия, сохранение персональных данных клиентов от попадания в руки злоумышленников, постоянный контроль (аудит) состояния защищенности информационной системы компании.

Задачи: Обучение сотрудников в области информационной защиты, обучение первичным средствам сохранения целостности информации, дабы сотрудники не совершали ошибок, которые могут нарушить бесперебойную работу компании, ведение четкой политики информационной безопасности, . повышение квалификации сотрудников путем обучения и регулярных тренингов. разграничение прав каждого отдела компании, составление чёткой конструктивной документальной базы компании, налаживание чёткой системы денежного оборота (хранение, передача, приём денежных средств), организация высококвалифицированной службы безопасности предприятия (компании).

Функции предприятия: 

- обеспечить бесперебойную «финансовую» помощь населению;

- обеспечить корректную обработку персональных данных;

- обеспечить проверку кредитоспособности клиентов;

- сопровождение существующей базы данных клиентов;


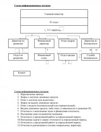
Структура компании:

Главный инвестор

[pic 1]

IT отдел

Генеральный директор [pic 2]

[pic 3][pic 4][pic 5][pic 6][pic 7]

Директор по развитию

Финансовый директор

Директор по персоналу

Директор по безопасности

[pic 8][pic 9][pic 10][pic 11]

Менеджеры по развитию

Финансовый отдел[pic 12]

Отдел продаж

[pic 13][pic 14]

Служба безопасности

[pic 15][pic 16][pic 17][pic 18]

Клиент


Схема информационных потоков

Главный инвестор [pic 19]

IT отдел[pic 20]

[pic 21]

Ген.директор [pic 22][pic 23]

[pic 24][pic 25][pic 26][pic 27][pic 28]

Директор по развитию

Финансовый директор

Отдел кадров

Директор по безопасности [pic 29]

[pic 30][pic 31][pic 32][pic 33][pic 34][pic 35][pic 36][pic 37][pic 38]

[pic 39][pic 40]

Отдел по развитию

[pic 41]

Финансовый отдел[pic 42][pic 43]

[pic 44]

Отдел продаж

[pic 45][pic 46][pic 47]

Служба безопасности

[pic 48][pic 49][pic 50][pic 51][pic 52]

...

Скачать:   txt (8.1 Kb)   pdf (103.1 Kb)   docx (32.4 Kb)  
Продолжить читать еще 2 страниц(ы) »
Доступно только на Essays.club