Essays.club - Получите бесплатные рефераты, курсовые работы и научные статьи
Поиск

Исследование проблем энергосбережения в школе

Автор:   •  Апрель 3, 2021  •  Научная работа  •  1,575 Слов (7 Страниц)  •  411 Просмотры

Страница 1 из 7

Конкурс научно-исследовательских работ учащихся

учреждений образования  г. Могилева по гуманитарным, естественным и техническим наукам

Исследование проблемы

энергосбережения в школе

Белоус Вероника,

учащаяся 10 “А” класса сш № 20 г. Могилева

Громыко Марина,

учащаяся 10 “А” класса сш № 20 г. Могилева

Сазонова Ольга,

учащаяся 10 “А” класса сш № 20 г. Могилева

Научный руководитель

Шелкова Татьяна Михайловна,

учитель физики и математики

г. Могилев, 2008 год


Реферат

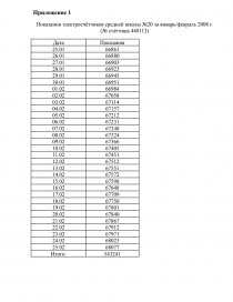
Работа “Исследование проблем энергосбережения в школе” содержит 7 страниц печатного текста, 2 таблицы, 1 приложение. При написании работы использовались учебные пособия для школы, работы современных авторов, затрагивающие проблемы энергосбережения, а также технические характеристики современных источников света.

Объектом исследования является средняя школа №20: учебные и не учебные кабинеты, коридоры, спортивный зал.

Цель данной работы: проанализировать потребление электроэнергии в школе и изучить возможности ее экономии. Для этого в течение января/февраля 2008 года был проведен учет ежедневного расхода электроэнергии и учет всех ее потребителей, сделан сравнительный анализ потребляемой энергии в январе/феврале 2007 и 2008 годов.

Проведены расчеты, которые показывают экономию электроэнергии за счет отключения потребителей электроэнергии на школьных перерывах и за счет использования современных источников света. Полученные результаты подтвердили возможность экономии электроэнергии в средней школе №20 и могут использоваться в любой другой школе.

 


Отзыв руководителя

В данной работе исследуется экономия электроэнергии в школе. Автор изучил потребителей электроэнергии в школе, мощность школьных светильников. Были сняты ежедневные показания электросчетчика школы за январь/февраль 2008 года. Также в работе проведен анализ изменения потребления электроэнергии в связи с проводимыми мероприятиями по экономии электроэнергии: использованием современных источников света и отключением светильников на перерывах.

Из-за недостаточной научной базы, автор не смог грамотно провести сложные расчеты, что повлияло на адекватность построенной модели. В работе проведена попытка исследования экономии электроэнергии в связи с заменой имеющихся светильников на современные источники света.

Работа носит творческий и исследовательский характер. Автор использовал моделирование  при решении практической задачи. Результаты работы могут быть использованы для экономии  электроэнергии в любом учреждении, в том числе и в школе.


Содержание

          стр.

Реферат        

Отзыв руководителя        

Введение        1

  1. Учет всех потребителей электроэнергии в школе        3
  2. Расчет экономии электроэнергии за счет отключения потребителей на школьных перерывах        5
  3. Расчет экономии электроэнергии за счет использования современных источников света        6

Заключение        7

Список использованных источников        8

Приложение                9


Введение

Для существования современной цивилизации необходима электроэнергия. Ни одно промышленное предприятие, учреждение не может работать без достаточного количества энергии. А современный человек не представляет свою жизнь без света, тепла, электроприборов, автомобилей.

...

Скачать:   txt (24 Kb)   pdf (104.8 Kb)   docx (23.1 Kb)  
Продолжить читать еще 6 страниц(ы) »
Доступно только на Essays.club