Essays.club - Получите бесплатные рефераты, курсовые работы и научные статьи
Поиск

Контрольная работа по "Дифференциальному и разностному уравнению"

Автор:   •  Июнь 20, 2020  •  Контрольная работа  •  265 Слов (2 Страниц)  •  426 Просмотры

Страница 1 из 2

Министерство образования и науки РФ[pic 1][pic 2][pic 3]

НГТУ

Контрольная работа по предмету

Дифференциальные и разностные уравнения

Вариант 5

ИДО

Группа: ДЭ-810

Студент: Евдокимов Д.И.

Преподаватель: Гусев С.А.

Новосибирск 2020

[pic 4]

1. Скорость роста количества бактерий пропорциональна их количеству. Первоначальное количество бактерий, равное A, в течение часа возросло в 1,2 раза. Определить время, через которое при данной скорости роста, их численность возрастет в 10 раз.

х – количество бактерий, тогда скорость роста [pic 5]

по условию [pic 6], где k – коэффициент пропорциональности.[pic 7]

[pic 8], откуда [pic 9]

[pic 10]

 общее решение дифференциального уравнения.[pic 11]

Найдем С и к из начальных условий

Изначально количество бактерий равно А, х(0)=А;

В течении часа возросло в 1.2 раза, т.е. х(1)=1.2А.

х(0)=А => Ce0=A, C=A, [pic 12]

x(1)=1,2A => Aek=1,2A, ek=1,2

Следовательно, x(t)=A(1,2)t  - зависимость количества бактерий от времени

Определить за какое время количество увеличится в 10 раз:

x(t)=10A,          

А(1,2)t=10A;

(1,2)t=10

t=log1,210≈12,63

Ответ: количество бактерий увеличится в 10 раз за 12 часов 38 минут.

2. [pic 13]

[pic 14]при х 0

[pic 15]

[pic 16]

[pic 17]

[pic 18]

 [pic 19]                          [pic 20]

[pic 21]

[pic 22]

[pic 23]


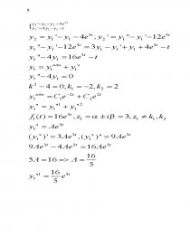
3.

[pic 24]

Это линейное неоднородное уравнение 1-го порядка, решим с помощью замены:

[pic 25]

[pic 26]

Данные уравнения эквивалентны:

[pic 27] [pic 28]

[pic 29]

Подставим во второе уравнение:

[pic 30]

Следовательно:[pic 31]

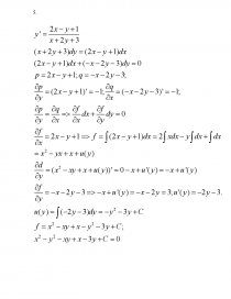
4.

[pic 32]


5.

[pic 33]


6.

[pic 34]дифференциальное уравнение Бернулли, сделаем замену:

...

Скачать:   txt (2.7 Kb)   pdf (640.8 Kb)   docx (1 Mb)  
Продолжить читать еще 1 страницу »
Доступно только на Essays.club