Организация дорожного движения
Автор: Pipiser • Май 27, 2020 • Контрольная работа • 806 Слов (4 Страниц) • 562 Просмотры
Содержание
Введение.........................................................................................
- Характеристика дорожных условий и условий движения……………..
- Определение интенсивности движения транспортных и пешеходных потоков…………………………………………………………………….
- Определение неравномерности движения транспортных и пешеходных потоков…………………………………………………………………….
- Определение степени опасности пересечения………………………….
- Расчет режимов светофорного регулирования………………………..
- Рекомендации по совершенствованию организации дорожного движения…………………………………………………………………..
Заключение…………………………………………………………………..
Список литературы………………………………………………………….
(доделать содержание)
Введение
Одна из главных проблем Российской Федерации – плохое качество дорожного полотна и его нехватка. Другими словами можно сказать, что главная задача заключается в повышении безопасности дорожного движения и снижение уровня аварийности на автомобильных дорогах.
На сегодняшний день автомобилизация страны составляет более 100 авт/1тыс. жит. и каждый год происходит 350тыс. отчетных ДТП.
Целью данной семестровой работы является оценка организации дорожного движения и дорожных условий на участке улично-дорожной сети города Краснодара и разработка мероприятий по совершенствованию организации дорожного движения.
- Характеристика дорожных условий и условий движения
Улица Сормовская имеет пересечение с улицами: Уральская, 30-й Иркутской Дивизии, Дзержинского, Тюляева, Симферопольская, Монтажная, Братская, Станочная, Дежнева, Онежская, Лизы Чайкиной, Старокубанская.
Улица Сормовская на всём протяжении имеет 2 полосы и везде присутствует тротуар. Ширина проезжей части составляет 7м.
Расположена ул. Сормовская с востока на запад. Дорожное покрытие находится в нормальном состоянии, так как это одна из главных улиц Комсомольского микрорайона. Средства дорожного движения на некоторых пересечениях с маленькими прилегающими улицами присутствуют не в полной мере.
Местами притяжения большого количества людей на улице Сормовской являются: Стадион "КСК", Гимназия №88, Центр занятости населения г. Краснодара, МБОУ СОШ №73, Табрис, Гимназия №82.
- Определение интенсивности движения транспортных и пешеходных потоков
Интенсивность движения – количество транспортных средств проезжающих через сечение дороги в единицу времени.
Так же важным показателем, характеризующим дорогу, является ее пропускная способность, которая оценивается максимально возможным количеством автомобилей, проходящих через определенное сечение дороги в единицу времени.
Схема полос, маневром и направлений на перекрестках представлены на рисунках 2.1 – 2.4. (распечатать и вложить)
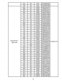
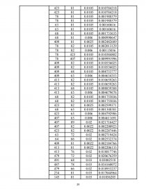
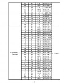
Результаты определения интенсивности движения на перекрестках представлены в таблице 2.1.
Таблица 2.1 – Интенсивность движения на перекрестках.
Пересечение | Направление | Полоса | Маневр | Интенсивность |
Сормовская – Симферопольская | 1 | 1 | 1 | 76 |
2 | 106 | |||
3 | 95 | |||
2 | 1 | 1 | 418 | |
2 | 78 | |||
2 | 1 | 406 | ||
3 | 82 | |||
3 | 1 | 1 | 86 | |
2 | 105 | |||
3 | 114 | |||
4 | 1 | 1 | 402 | |
2 | 93 | |||
2 | 1 | 417 | ||
3 | 71 | |||
Сормовская – Монтажная | 1 | 1 | 1 | 64 |
2 | 89 | |||
3 | 81 | |||
2 | 1 | 1 | 413 | |
2 | 66 | |||
2 | 1 | 409 | ||
3 | 78 | |||
3 | 1 | 1 | 63 | |
2 | 76 | |||
3 | 82 | |||
4 | 1 | 1 | 407 | |
2 | 72 | |||
2 | 1 | 423 | ||
3 | 68 | |||
Сормовская – Братская | 1 | 1 | 1 | 95 |
2 | 89 | |||
3 | 78 | |||
2 | 1 | 1 | 425 | |
2 | 69 | |||
2 | 1 | 406 | ||
3 | 94 | |||
3 | 1 | 1 | 98 | |
2 | 86 | |||
3 | 82 | |||
4 | 1 | 1 | 413 | |
2 | 98 | |||
2 | 1 | 405 | ||
3 | 68 | |||
Сормовская – Онежская | 1 | 1 | 1 | 73 |
2 | 87 | |||
3 | 91 | |||
2 | 1 | 1 | 406 | |
2 | 74 | |||
2 | 1 | 447 | ||
3 | 1 | 1 | 79 | |
2 | 86 | |||
3 | 93 | |||
4 | 1 | 1 | 419 | |
2 | 81 | |||
2 | 1 | 453 |
...