Essays.club - Получите бесплатные рефераты, курсовые работы и научные статьи
Поиск

Технологічный процес виробництва других страв з печінки

Автор:   •  Ноябрь 15, 2021  •  Курсовая работа  •  9,441 Слов (38 Страниц)  •  466 Просмотры

Страница 1 из 38

Зміст

          Вступ ……………………………………………………………………..…6

  1. Значення м’ясних страв та з м’ясопродуктів у харчуванні……………...8
  2. Аналіз технології виробництва страв з печінки ………………………..10
  1. Загальна характеристика асортименту страв з печінки……………….10
  2. Аналіз рецептурного складу страв; харчова, біологічна, і енергетична цінність ………………………………………………………………......15
  3. Товарознавча характеристика продуктів, що входять до складу страв………………………………………………………………………11
  4. Аналіз технологічного процесу виробництва страв; матеріало-технічне забезпечення процесу. Вибір способів і режимів обробки для забезпечення збереження біологічної цінності………………………..22
  5. Характеристика процесів, що відбуваються під час приготування страв……………………………………………………………………....25
  6. Подача страв та пропозиції стосовно нових форм подачі і оформлення страв………………………………………………………………………27
  1. Технологічне забезпечення якості страв……………………………….29
  1. Забезпечення якості контролю на стадіях технологічного процесу…29
  2. Розробка нормативно-технологічної документації…………………...35

Висновки…………………………………………………………………..39

Список використаних джерел……………………………………………41

Додатки 1. «Технологічна картка виробництва печінка шпигована салом»……………………………………………………………………...43

Додатки 2. «Технологічна карта виробництва печінки смаженої з цибулею»…………………………………………………………………..44

Додатки 3. «Технологічна карта виробництва печінки по-краснолуцьки»…………………………………………………………….45

Додаток 4. «Технологічна карта виробництва печінки по-херсонськи»……………………………………………………………….46

Додаток 5. «Технологічна карта виробництва печінки по-строганвськи»……………………………………………………………..47

Додаток 6. «Технологічна схема виробництва печінки шпигованої салом»…………………………………………………………………….48

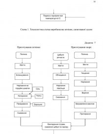
 Додаток 7. «Технологічна схема виробництва печінки смаженої з цибулею»…………………………………………………………………49

Додаток 8. «Технологічна схема виробництва печінки по-строганівськи»……………………………………………………………50

Додаток 9. «Технологічна схема виробництва печінки по-краснолуцьки»…………………………………………………………….51

Додаток 10. Оформлення страв …………………………………………52

Додаток 11. Розрахунок харчової, біологічної, енергетичної цінності страв з печінки ……………………………………………………………56

Додаток 12. Бракераж страв ……………………………………………..58

Додаток 13. Розрахунок сировини………...……………………………..59

Вступ

Харчування є одним з основних умов існування людини, а проблема харчування - однією з основних проблем людської культури.

Кількість, якість, асортимент споживаних харчових продуктів,своєчасність регулярність прийому їжі вирішальним чином впливає на людське життя у всіх її проявах. [26]

З далекої давнини наші пращури їли м’ясо яловичини, баранини, свинини, а також птиці: курей, качок, гусей та дичини. Смажені страви з м’яса та птиці вважалися святковими.

Майстерність приготування їжі є з однією найдавніших галузей людської діяльності. Сучасний великий досвід обробки харчових продуктів і приготування із них страв накопичуються протягом багатьох віків.

Заклади ресторанного господарства на сучасному етапі – це одна із важливих галузей народного господарства України. Вони об’єднують різні підприємства, які відрізняються виконавськими функціями в приготувані і реалізації страв, обслуговування населення – їдальні, ресторани, кафе закусочні, бари. []

...

Скачать:   txt (132.8 Kb)   pdf (684.9 Kb)   docx (244.6 Kb)  
Продолжить читать еще 37 страниц(ы) »
Доступно только на Essays.club