Essays.club - Получите бесплатные рефераты, курсовые работы и научные статьи
Поиск

Контрольная работа по "Долгосрочной и краткосрочной финансовой политике"

Автор:   •  Январь 9, 2019  •  Контрольная работа  •  2,371 Слов (10 Страниц)  •  501 Просмотры

Страница 1 из 10

Федеральное государственное образовательное бюджетное

учреждение высшего образования

«Финансовый университет при Правительстве Российской Федерации»

(Финуниверситет)

Калужский филиал Финуниверситета

Факультет «Управления и бизнес-технологий»

Кафедра «Финансы и кредит»

КОНТРОЛЬНАЯ РАБОТА

по дисциплине «Долгосрочная и краткосрочная финансовая политика»

Вариант 4,3

наименование темы или вариант задания

Выполнил (а) студент (ка) 5 курса,

группы

формы обучения заочной

       (очной,  заочной)

 (Ф.И.О. студента)

Проверил преподаватель:

к.э.н., доцент

(ученая степень, должность, Ф.И.О.)

Дата поступления работы на кафедру:

Оценка:

________________  _____________

(зачтено/не зачтено)             подпись преподавателя

____ ____________2017г.

___  _____________ 2017 г.

СОДЕРЖАНИЕ

ВВЕДЕНИЕ        3

ГЛАВА 1 ТЕОРЕТИЧЕСКИЙ БАЗИС ФИНАНСИРОВАНИЯ ОБОРОТНЫХ СРЕДСТВ        4

1.1        Понятие оборотных активов и оборотных средств        4

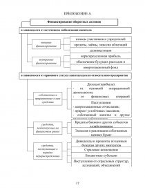
1.2        Источники формирования оборотных средств        6

ГЛАВА 2 СОВРЕМЕННЫЕ МЕТОДЫ РЕФИНАНСИРОВАНИЯ ОБОРОТНЫХ СРЕДСТВ: ФАКТОРИНГ, ФОРФЕЙТИНГ, УЧЕТ ВЕКСЕЛЕЙ        10

ЗАКЛЮЧЕНИЕ        12

ЗАДАЧА        13

СПИСОК ЛИТЕРАТУРЫ        14

ПРИЛОЖЕНИЕ А        15

ВВЕДЕНИЕ

В современных условиях хозяйствования формы финансирования оборотных средств оказывают значительное влияние на финансовую устойчивость и ликвидность предприятия, учреждения или организации. Поэтому актуальность исследования современных форм финансирования оборотных средств обусловлена желанием финансового менеджмента снизить риски, с ними связанные.

Изучением данной проблематики занимались такие отечественные ученые как Ковалев В.В., Фролова Т.А., Берзон Н.И., Баскакова О. В., Гончарова Э.А., Бланк И.А. и др. Однако, несмотря на огромное количество литературы, посвященной данному вопросу, формы финансирования оборотных активов остаются недостаточно исследованными из-за того, что происходит их постоянное усложнение и видоизменение.

Данная работа ставит перед собой целью изучение современных источников финансирования оборотных средств.

В рамках достижения данной цели, выполняются такие задачи как раскрытие понятия оборотных средств, их классификации, а также рассмотрение источников их финансирования и методов рефинансирования дебиторской задолженности, что актуально для отечественных предприятий, где она занимает достаточный удельный вес в общем объеме оборотных средств.

ГЛАВА 1 ТЕОРЕТИЧЕСКИЙ БАЗИС ФИНАНСИРОВАНИЯ ОБОРОТНЫХ СРЕДСТВ

  1. Понятие оборотных активов и оборотных средств

Несмотря на достаточную изученность вопроса о сущности оборотных средств, в современной экономической литературе существует множество понятий, употребляемых как синонимы: оборотные активы, оборотный капитал, текущие активы, краткосрочные активы.

Появление подобного многообразия терминов обусловлено различиями в переводах западной экономической литературы на русский язык, а также, переходом отечественной экономики от административно-командной системы к рыночной, что обусловило переосмысление имевшейся терминологии.

В отечественной литературе существует традиция отождествления оборотных средств и оборотных активов, в частности, Ковалев В.В. полагает, что в практической деятельности финансовый менеджер должен выбирая те понятия, которые представляются ему наиболее предпочтительными [1, с.706].

...

Скачать:   txt (34.1 Kb)   pdf (315 Kb)   docx (40.9 Kb)  
Продолжить читать еще 9 страниц(ы) »
Доступно только на Essays.club