Формирование инвестиционного портфеля
Автор: DArina2019 • Декабрь 14, 2022 • Контрольная работа • 575 Слов (3 Страниц) • 295 Просмотры
Пример выполнения работы
- Выберем ценные бумаги для анализа изменения котировок:
Таблица 3. Выбранные ценные бумаги
Номер выбранной ценной бумаги | Наименование эмитента выбранной ценной бумаги |
1 (Буква «К») | ОАО «Нефтяная компания «ЛУКОЙЛ» |
2 (Буква «А») | ОАО «Банк ВТБ» |
3 (Цифра 9) | ОАО «АвтоВАЗ» |
Составим таблицу, в которой за период с 01.03.2018 по 31.05.2018 прослеживаются ежедневные изменения курсов акций интересующих компаний, а также изменения биржевого индекса РТС.
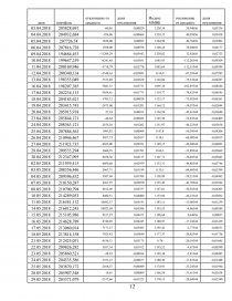
Таблица 4. Цены акций и индекс рынка с 01.03.2018 по 31.04.2018
дата | ОАО «Нефтяная компания «ЛУКОЙЛ» | ОАО «Банк ВТБ» | ОАО «АвтоВАЗ» | Индекс РТС |
01.03.2018 | 3754 | 0,0525 | 13,11 | 1278,68 |
02.03.2018 | 3749,5 | 0,05241 | 13,25 | 1272,45 |
05.03.2018 | 3730 | 0,05246 | 13,65 | 1270,91 |
06.03.2018 | 3744 | 0,053 | 13,42 | 1291,3 |
07.03.2018 | 3721 | 0,0547 | 12,96 | 1278,3 |
09.03.2018 | 3789 | 0,05628 | 13,08 | 1270,45 |
12.03.2018 | 3770 | 0,05571 | 12,99 | 1288,38 |
13.03.2018 | 3773 | 0,0558 | 13,05 | 1282,12 |
14.03.2018 | 3742 | 0,05354 | 12,99 | 1279,6 |
15.03.2018 | 3800 | 0,05384 | 12,97 | 1254,33 |
16.03.2018 | 3874,5 | 0,05348 | 13,02 | 1246,5 |
19.03.2018 | 3815 | 0,0534 | 13,02 | 1259,71 |
20.03.2018 | 3860 | 0,0539 | 12,9 | 1242,79 |
21.03.2018 | 3874 | 0,054 | 13,02 | 1255,84 |
22.03.2018 | 3857 | 0,054 | 13,14 | 1280,14 |
23.03.2018 | 3874,5 | 0,05328 | 13,03 | 1250,51 |
26.03.2018 | 3800 | 0,05099 | 12,79 | 1256,89 |
27.03.2018 | 3878 | 0,0518 | 12,98 | 1238,82 |
28.03.2018 | 3927 | 0,051 | 13,09 | 1237,98 |
29.03.2018 | 3991,5 | 0,05115 | 13 | 1228,91 |
30.03.2018 | 3961 | 0,05166 | 13,01 | 1253,78 |
02.04.2018 | 3955,5 | 0,05114 | 13,11 | 1252,44 |
03.04.2018 | 3951 | 0,0523 | 13,29 | 1238,14 |
04.04.2018 | 3939 | 0,05237 | 13,13 | 1239,15 |
05.04.2018 | 3990 | 0,05395 | 13,1 | 1244,96 |
06.04.2018 | 3939 | 0,0554 | 13 | 1248,24 |
09.04.2018 | 3620 | 0,0504 | 12,91 | 1230,82 |
10.04.2018 | 3900 | 0,05091 | 12,51 | 1085,93 |
11.04.2018 | 4070 | 0,05047 | 11,9 | 1085,64 |
12.04.2018 | 3979 | 0,05093 | 12,27 | 1110,9 |
13.04.2018 | 3902 | 0,05087 | 12,22 | 1122,86 |
16.04.2018 | 3892 | 0,05179 | 12 | 1095,34 |
17.04.2018 | 3940 | 0,05217 | 12,57 | 1119,77 |
18.04.2018 | 4030 | 0,053 | 12,35 | 1123,17 |
19.04.2018 | 4015 | 0,0525 | 12,38 | 1164,12 |
20.04.2018 | 3985 | 0,05289 | 12,99 | 1154,58 |
23.04.2018 | 3974 | 0,053 | 13 | 1145,36 |
24.04.2018 | 3999,5 | 0,053 | 13,44 | 1151,97 |
25.04.2018 | 4029 | 0,05287 | 13,22 | 1147,8 |
26.04.2018 | 4140 | 0,0524 | 13,48 | 1138,1 |
27.04.2018 | 4212 | 0,05257 | 13,3 | 1149,15 |
28.04.2018 | 4178,5 | 0,0527 | 12,9 | 1166,3 |
30.04.2018 | 4156,5 | 0,05397 | 13,31 | 1161,71 |
02.05.2018 | 4141 | 0,05434 | 13,2 | 1153,31 |
03.05.2018 | 4068 | 0,05261 | 13,2 | 1133,5 |
04.05.2018 | 4108 | 0,05275 | 13,2 | 1138,98 |
07.05.2018 | 4121 | 0,05277 | 13,3 | 1155,49 |
08.05.2018 | 4180 | 0,0527 | 13,15 | 1147,81 |
10.05.2018 | 4235 | 0,05225 | 13,8 | 1153,96 |
11.05.2018 | 4383 | 0,05238 | 13,55 | 1183,11 |
14.05.2018 | 4407,5 | 0,0525 | 13,45 | 1193,53 |
15.05.2018 | 4392 | 0,0515 | 13,4 | 1198,64 |
16.05.2018 | 4410 | 0,05132 | 13,25 | 1180,95 |
17.05.2018 | 4354 | 0,05122 | 13,2 | 1195,42 |
18.05.2018 | 4450 | 0,0512 | 12,9 | 1177,37 |
21.05.2018 | 4398,5 | 0,05156 | 12,75 | 1178 |
22.05.2018 | 4360 | 0,05139 | 12,4 | 1193,52 |
23.05.2018 | 4263 | 0,05115 | 12,05 | 1192,38 |
24.05.2018 | 4230 | 0,05121 | 11,9 | 1180,36 |
25.05.2018 | 4248 | 0,05106 | 11,7 | 1174,95 |
28.05.2018 | 4290 | 0,05145 | 11,85 | 1166,58 |
29.05.2018 | 4224 | 0,05128 | 11,65 | 1170,15 |
30.05.2018 | 4246,5 | 0,05134 | 11,7 | 1152,67 |
31.05.2018 | 4209 | 0,04989 | 11,7 | 1168,86 |
...