Essays.club - Получите бесплатные рефераты, курсовые работы и научные статьи
Поиск

Процесс управления проектами на примере проекта из сферы девелопмента

Автор:   •  Март 24, 2019  •  Курсовая работа  •  4,103 Слов (17 Страниц)  •  766 Просмотры

Страница 1 из 17

[pic 1]

СОДЕРЖАНИЕ

ВВЕДЕНИЕ        3

1. ПРОЦЕССЫ УПРАВЛЕНИЯ В УСТАВЕ ПРОЕКТА        4

2. ИСР        6

3. РАСПИСАНИЕ ПРОЕКТА        7

3.1. Список операций проекта        7

3.2. Оценка длительности операций        8

3.3. Последовательность операций в виде диаграммы        9

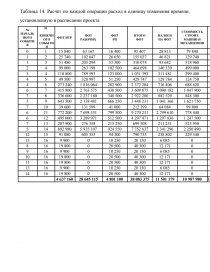
3.4. Расчёт сетевого графика методом критического пути        10

3.5. Расписание проекта в виде диаграммы Г.Л. Гантта        15

4. БЮДЖЕТ ПРОЦЕССОВ ПРОЕКТА        18

4.1. Необходимые ресурсы для выполнения операций проекта        18

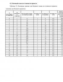
4.2. Базовый план по стоимости проекта        20

5. ПЛАН УПРАВЛЕНИЯ КАЧЕСТВОМ ПРОЦЕССОВ        24

5.1. План управления качеством процессов проекта        24

5.2. Диаграмма Кауро Исикавы для ключевой проблемы проекта        25

6. ПЛАН УПРАВЛЕНИЯ КОММУНИКАЦИЯМИ ПРОЕКТА        26

7. ПЛАН УПРАВЛЕНИЯ РИСКАМИ ПРОЕКТА        27

8. УПРАВЛЕНИЕ ЗАИНТЕРЕСОВАННЫМИ СТОРОНАМИ        32

ЗАКЛЮЧЕНИЕ        33

СПИСОК ЛИТЕРАТУРЫ        35


ВВЕДЕНИЕ

Представим процессы управления проектами на примере проекта из сферы девелопмента: «СТРОИТЕЛЬСТВО ЖИЛОГО ПЯТИЭТАЖНОГО ДОМА»:

Определим основные параметры процессов проекта: цель: построить пятиэтажный дом на 200 квартир; начальное состояние: наличие земли в собственности заказчика; конечное состояние – результат: жилой дом в пять этажей на 200 квартир; Ограничения по продолжительности:

- исходя из опыта подобных проектов и расчётов процессов по диаграмме Генри Лоуренса Гантта – определим ровно в 632 календарных дня;

Ограничения по стоимости процессов проекта: 800 (Восемьсот) миллионов рублей (ограничение рассчитано исходя из средних цен рынка новой недвижимости города, где продажа 200 квартир (разный метраж – разная стоимость – в среднем по 5 (Пять) миллионов) - принесёт 1 (Один) миллиард рублей – тогда 20% или 200 (Двести) миллионов рублей (1 000 000 000 – 800 000 000) - как раз составляет профит заказчика от подобного проекта);

Заинтересованные стороны проекта:

- (1) Заказчик проекта - частное лицо - инвестор;

- (2) Исполнитель – руководитель проекта;

- (3) Центр финансовой ответственности (Расчёты с контрагентами);

- (4) Центр ответственности «строительство дома» (подрядная строительная организация);

- (5) Контрагенты проекта – это сторонние организации, поставляющие на стройку строительные материалы и оказывающие услуги.

Основные требования заинтересованных сторон:

- (1) получить в срок готовые к продаже 200 квартир;

- (2) Делегированы полномочия полностью контролировать проект;

- (3) Иметь инвестиции от заказчика на финансирование расходов проекта;

- (4) Вовремя получать все необходимые проекту ресурсы;

- (5) Вовремя получать оплату за услуги и строительные материалы.


1. ПРОЦЕССЫ УПРАВЛЕНИЯ В УСТАВЕ ПРОЕКТА

Представим документ от инициатора проекта (заказчика – частного инвестора), который определяет основные процессы управления проектом, то естьформально авторизует существование проекта и делегирует исполнителю проекта полномочия использовать финансовые, материальные и человеческие ресурсы в целях реализации операций проекта. Уста проекта документирует бизнес-потребности, допущения, ограничения, понимание потребностей заказчика, высокоуровневые требования к строительству жилого дома, а также результат, который планируется создать:

Устав проекта строительства жилого дома обычно занимает порядка 500 (Пятисот) страниц А4 мелким шрифтом – представим его краткое содержание:

1. В разделе общая информация – полные наименования всех заинтересованных сторон их права и обязанности;

2. В разделе обоснование целесообразности реализации проекта указаны маркетинговые исследования, которые в целом можно свести к следующему: проект финансируем ровно на 800 (Восемьсот) миллионов рублей (ограничение рассчитано исходя из средних цен рынка новой недвижимости города, где продажа 200 квартир (разный метраж – разная стоимость – в среднем по 5 (Пять) миллионов) - принесёт 1 (Один) миллиард рублей – тогда 20% или 200 (Двести) миллионов рублей (1 000 000 000 – 800 000 000) - как раз составляет профит (прибыль до уплаты налогов и «премий») заказчика от подобного проекта);

...

Скачать:   txt (66.8 Kb)   pdf (745.6 Kb)   docx (285.8 Kb)  
Продолжить читать еще 16 страниц(ы) »
Доступно только на Essays.club