Essays.club - Получите бесплатные рефераты, курсовые работы и научные статьи
Поиск

Внедрение технологии SDH

Автор:   •  Май 10, 2019  •  Курсовая работа  •  16,700 Слов (67 Страниц)  •  633 Просмотры

Страница 1 из 67

ВВЕДЕНИЕ

В настоящее время связь несмотря ни на что остается одной из наиболее перспективных, развивающихся базовых инфраструктурных отраслей. Сегодня  под термином «связь» понимаются не только методы двустороннего    общения, но и весь комплекс передачи информационных сообщений, без которых невозможно ни нормальная деловая, ни политическая деятельность, ни развитие человека как такового. По мере все более широкого использования телекоммуникационных возможностей на предприятиях и в частной сфере возрастают и требования клиентов к услугам связи, интеллекту сетей. С полным правом требуют они введения более жестких стандартов, в том числе надежности всех видов связи.

На сегодняшний день сеть телекоммуникации Республики Казахстан характеризуется сосредоточением устаревшего аналогового (декадно-шагового, координатного), оборудования, что влечет за собой большое количество отказов в соединении, низкое качество связи, возможность предоставления только базовых услуг связи. На пороге нового века именно связь и информатика становятся ключевыми технологиями, и именно они будут определять развитие общества в начале третьего тысячелетия. Казахстан делает ставку на развитие сетей телекоммуникаций.

Как известно, именно цифровые системы коммутации и передачи данных являются той основой, которая и обеспечивает три непременных аспекта обслуживания клиентов. Это качество услуг, предоставляемых на сетевой платформе, их ассортимент, а также сокращение издержек.

Благодаря этим системам резко повышается надежность сети и, следовательно, улучшается качество передачи; кроме того, сокращаются сроки ввода номеров в эксплуатацию, совершенствуются расчеты с клиентами. Стало, например, возможным предоставление новых услуг. По этому, само собой разумеется, что параллельно развиваются сервисные возможности для клиентов. С позиции клиента, это уменьшение числа отказов, а с позиции оператора - сокращение численности обслуживающего персонала, снижение потребностей в производственных площадях.

В будущем «Казахтелеком» намеревается наращивать мощность сети путем внедрения технологии SDH на всей территории республики, при которой значительно упрощен доступ к определенному сигналу, передаваемому в рамках мультиплексного сигнала с высокой цифровой скоростью.

Внедрение цифровых систем, кроме того, является одной из важнейших предпосылок для простого предоставления в распоряжение сервиса ISDN.

В мире наблюдается резкий рост пользователей сети «Интернет». Благодаря  развитию  телекоммуникационной   сети      все   более   улучшаются условия работы в сети «Интернет», и в этом направлении ведется непрерывная работа.

В рамках проекта внедрения оптических линий связи строятся оптические абонентские сети. Однако волоконно-оптические линии не прокладываются вплоть до квартиры абонента; на сети также используется медный или коаксиальный кабель. Таким образом, в распоряжении оператора находится кабельная инфраструктура, позволяющая в дальнейшем расширить возможности сети и предложить клиентам интерактивные широкополосные услуги.

Одним из принципиальных этапов развития технологий электросвязи, так как представляет собой переход от адресации терминалов к адресации пользователей, является переход к персональной адресации.  В персональной системе связи каждый пользователь будет иметь единый адрес, независимо от того в какую сеть он включен, какой вид связи использует и где находится в данный момент времени.

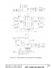
   1  СТРУКТУРА СУЩЕСТВУЮЩЕЙ АТС

Телекоммуникационная сеть нуждается в модернизации для увеличения видов обслуживания, улучшения качества связи и увеличения скорости передаваемой информации, вхождения в цифровую сеть с интеграцией служб и расширении. В данном проекте на городской телефонной сети работают АТС аналогового типа: одна декадно-шаговая и две координатные и электронного типа: S-12, DX, DRX. Общая ёмкость АТС электронных систем составляет 28000 номеров (40 % емкости сети). Ёмкость аналоговой сети составляет 42000 номеров, или 60  % от монтированной ёмкости.

...

Скачать:   txt (160.6 Kb)   pdf (1.8 Mb)   docx (1.3 Mb)  
Продолжить читать еще 66 страниц(ы) »
Доступно только на Essays.club