Essays.club - Получите бесплатные рефераты, курсовые работы и научные статьи
Поиск

Лабораторная работа по "Основам Автоматического Управления"

Автор:   •  Декабрь 4, 2022  •  Лабораторная работа  •  387 Слов (2 Страниц)  •  282 Просмотры

Страница 1 из 2

[pic 1]

Министерство науки и высшего образования Российской Федерации

Федеральное государственное бюджетное образовательное учреждение

высшего образования

«Московский государственный технический университет

имени Н.Э. Баумана

(национальный исследовательский университет)»

(МГТУ им. Н.Э. Баумана)

Космический факультет

Кафедра К2 «Информационно-измерительные системы и технологии приборостроения»

        

Лабораторная работа №1

по Основам Автоматического Управления

Выполнил студент: Моргаев А.

Группа: К2-61Б 

                        

 

Оценка _________                                         Дата ______

2022   г.

Вариант 18

Цель работы: графическое определение и аналитический расчет частотных характеристик системы, состоящей из апериодических звеньев

Пропорциональные и апериодические (1 и 2 порядков) звенья

[pic 2]

N=18, T=T3=1.8, T4=3.2

Временные характеристики

  • Переходная функция

 Пропорционального звена[pic 3]

[pic 4]

  Апериодического звена 1 порядка

[pic 5]

   Апериодического звена 2 порядка

     

[pic 6]

 

[pic 7]

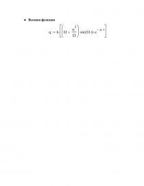
  • Весовая функция

[pic 8]

[pic 9]

[pic 10]

   Пропорционального звена

     Апериодического звена 1 порядка

     Апериодического звена 2 порядка

[pic 11]

[pic 12]

Частотные характеристики

  • Пропорциональное звено

АЧХ: [pic 13]

ФЧХ: [pic 14] 

ЛАЧХ: [pic 15]

  • Апериодическое звено 1 порядка

АЧХ: [pic 16]

ФЧХ: [pic 17]

ЛАЧХ: [pic 18]

  • Апериодическое звено 2 порядка

АЧХ: [pic 19]

ФЧХ: [pic 20]

ЛАЧХ: [pic 21]

[pic 22]

[pic 23]

[pic 24]

                                 

Диаграмма Найквиста

[pic 25]

Распределение нулей и полюсов

[pic 26]

Колебательные звенья

Колебательные звенья с тремя разными коэффициентами затухания (ξ)[pic 27]

Временные характеристики

  • Переходная функция

[pic 28]

[pic 29]

Где α – логарифмический декремент затухания, Ω – частота собственных колебаний

...

Скачать:   txt (4 Kb)   pdf (742.5 Kb)   docx (815.1 Kb)  
Продолжить читать еще 1 страницу »
Доступно только на Essays.club