Essays.club - Получите бесплатные рефераты, курсовые работы и научные статьи
Поиск

Спроектувати та розробити інформаційно-комунікаційну систему для типового підприємства

Автор:   •  Март 31, 2023  •  Курсовая работа  •  6,302 Слов (26 Страниц)  •  323 Просмотры

Страница 1 из 26

Міністерство освіти і науки України

Фаховий коледж зварювання та електроніки імені Є.О. Патона

Циклова комісія комп’ютерних систем і мереж…

КУРСОВИЙ ПРОЄКТ

 

СПРОЕКТУВАТИ ТА РОЗРОБИТИ ІНФОРМАЦІЙНО-КОМУНІКАЦІЙНУ СИСТЕМУ ДЛЯ ТИПОВОГО ПІДПРИЄМСТВА

Студента   IV_курсу, групи_КМП -20-1/11R________

галузь знань             12   Інформаційні технології

спеціальність          123   Комп’ютерна інженерія

за ОПП  «Обслуговування комп’ютерних систем і мереж» 

з навчальної дисципліни «Експлуатація, діагностика та тестування комп’ютерних систем та мереж» 

            Соловйова Євгенія Сергійовича[pic 1]

Керівник:       Грязнова Алла Олексіївна[pic 2]

Національна шкала_________________________

Члени комісії ________             Алла ГРЯЗНОВА[pic 3][pic 4]

 ________             Олександр ЧЕМІКОС[pic 5][pic 6]

2023

ЗАВДАННЯ

на курсовий проект з навчальної дисципліни   Експлуатація, діагностика та тестування  комп’ютерних систем та мереж

Студента (ки)   4   курсу,  спеціальності 123 «Комп’ютерна  інженерія»

за ОПП «Обслуговування комп’ютерних систем та мереж», групи  КМП-20-1/11

Соловйова Євгенія Сергійовича

 (прізвище, ім’я, по-батькові)

ТЕМА КУРСОВОГО ПРОЕКТУ

Спроектувати та розробити інформаційно-комунікаційну систему для типового підприємства

ПОСТАНОВКА ЗАДАЧІ

Спроектувати інформаційно-комунікаційну систему для типового підприємства.

  План  поверхової будівлі відповідно до варіанту:

  • плани приміщень та розміри  

варі

анту

План приміщення

Висота стелі, м.

Номери  поверхів

Розміри приміщень, м.

А

Б

В

Г

Д

Е

15

План 5

2,80

1,6,9

5

6

5

7

8

2

  • кількість комп’ютерів в кімнатах

Номер варіанту

Кількість комп’ютерів в кімнатах

Номер першого поверху

Номер другого поверху

Номер третього

поверху

1

2

3

4

5

6

1

2

3

4

5

6

1

2

3

4

5

6

15

3

4

5

6

5

4

5

6

7

7

6

6

7

4

5

6

7

7

-інформаційно- комунікаційні технології, топології та протоколи комп’ютерних мереж

№ варіанту

Інформаційно- комунікаційні

технології

Технології мереж

Протоколи  глобальної мережі

Мережеві протоколи за рівнями призначення

15

Браузер Mozilla Firefox

Бездротова технологія  WLAN

DTN

Gopher

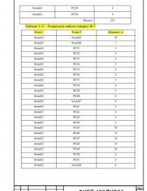
  • плани поверхів будівлі підприємства:

[pic 7]

ВСТУП

1. ПОСТАНОВКА ЗАДАЧЇ

2. ОСНОВНА ЧАСТИНА

Основна частина містить опис інформаційно – комунікаційних технологій, технологій комп’ютерних мереж, топологій мереж та протоколів  передачі даних (відповідно до варіанту).

...

Скачать:   txt (89.5 Kb)   pdf (1.9 Mb)   docx (2.1 Mb)  
Продолжить читать еще 25 страниц(ы) »
Доступно только на Essays.club