Essays.club - Получите бесплатные рефераты, курсовые работы и научные статьи
Поиск

Отчет по практике в КГБ ПОУ «ККРИТ»

Автор:   •  Октябрь 23, 2019  •  Отчет по практике  •  5,366 Слов (22 Страниц)  •  615 Просмотры

Страница 1 из 22

МИНИСТЕРСТВО ОБРАЗОВАНИЯ КРАСНОЯРСКОГО КРАЯ

КРАЕВОЕ ГОСУДАРСТВЕННОЕ БЮДЖЕТНОЕ ПРОФЕССИОНАЛЬНОЕ ОБРАЗОВАТЕЛЬНОЕ УЧРЕЖДЕНИЕ                  

«КРАСНОЯРСКИЙ КОЛЛЕДЖ РАДИОЭЛЕКТРОНИКИ И ИНФОРМАЦИОННЫХ ТЕХНОЛОГИЙ»

ОТЧЁТ

по учебной практике

ПМ 01 «Участие в проектировании сетевой инфраструктуры»

Специальность:09.02.02 «Компьютерные сети»

База практики: КГБ ПОУ «ККРИТ»

Выполнил студент (ка): Ямакаев Максим Викторович гр. 9КС-32

Руководитель от колледжа: Харитонова Екатерина Владимировна

Оценка ____________________

Дата проверки ______________

Подпись ___________________

Красноярск, 2017

АННОТАЦИЯ

Данный документ является пояснительной запиской к учебной практике «Проектирование компьютерных сетей» на тему «Спроектировать компьютерную сеть для офисного центра».

В данной учебной практике спроектирована кабельная структура, выполнен анализ требований к сети, дано обоснование выбора топологии, технологии сети и кабельных линий связи, выполнен расчет длины кабеля, выполнен подбор сетевого оборудования и программного обеспечения, подсчитаны суммарные затраты на проектирование сети.

Главной задачей учебной практики заключается в проектировании сети организации. Офисный центр представляет из себя помещение, где организована сеть из пяти рабочих групп, с числом рабочих станций в группе 2-7, расстояние между соседними группами составляет 3-5м.

Пояснительная записка состоит из 42 страниц, 10  рисунков, 25 таблиц, 4 приложений.

 Во время учебной практики были использованы следующие программные обеспечения: КОМПАС 3D, Cisco Packet Tracer и Microsoft Office Word.

СОДЕРЖАНИЕ

ВВЕДЕНИЕ        6

1.        ТЕХНИЧЕСКОЕ ЗАДАНИЕ        7

1.1 Постановка задачи        7

1.2        Анализ требований к сети        8

1.3 Анализ требований заказчика        9

1.4  Расчет площади помещений, кол-во ПК, вариант проекта компьютерной сети        9

2        РАБОЧАЯ ЧАСТЬ        11

2.1 Обосновать выбор топологии сети        11

2.2  Проектирование компьютерной сетей в двух вариантах в КОМПАС 3Dv16        12

2.2.1 Проектирование 1го варианта компьютерной сети        12

2.2.2 Проектирование 2го варианта компьютерной сети        13

2.3 План аппаратной комнаты        13

2.4 Общая схема подключения устройств сети        14

2.4.1 Схема подключения устройств сети для варианта 1        14

2.5  Расчет максимального маршрута        15

2.5.1 Максимальный маршрут для 1-го варианта        15

2.5.2 Максимальный маршрут для 2-го варианта        15

2.6 Расчет показателей корректности работы сети: PVD, PVV        16

2.6.1 Расчет PDV и PVV для 1 варианта        16

2.6.2 Расчет PDV и PVV для 2 варианта        17

2.7 Спецификация оборудования сети, программное обеспечение        18

2.7.1 Пассивное оборудование для 1 варианта        18

2.7.2 Активное оборудование для 1 варианта        19

2.7.3 Пассивное оборудование для 2 варианта        20

2.7.4 Активное сетевое оборудование для 2 варианта        22

2.8 Программное обеспечение для сети в двух вариантах        22

2.8.1 Программное обеспечение для 1 варианта        22

2.8.2 Программное обеспечение для 2 варианта        23

2.9 Обоснование выбора варианта проектной работы        23

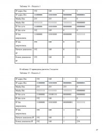
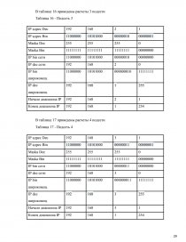
2.10 Расчет IP-адресации        23

2.11 Проектирование компьютерной сети в Cisco Packet Tracer        27

...

Скачать:   txt (74.5 Kb)   pdf (930.1 Kb)   docx (1.8 Mb)  
Продолжить читать еще 21 страниц(ы) »
Доступно только на Essays.club