Essays.club - Получите бесплатные рефераты, курсовые работы и научные статьи
Поиск

Анализ прохождения сигнала через систему связи

Автор:   •  Март 26, 2022  •  Контрольная работа  •  1,803 Слов (8 Страниц)  •  380 Просмотры

Страница 1 из 8

Задание курсовой работы

1. Произвести аналитическое описание аналогового сигнала в соответствии с заданным

порядковым номером, используя его поинтервальное описание линейными функциями.

2. Произвести аналитическое описание аналогового сигнала в соответствии с заданным

порядковым номером, используя разложение сигнала на типовые составляющие и

единичные ступени.

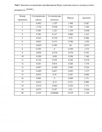
3. Найти спектральную плотность аналогового сигнала, используя преобразование Фурье

(для пункта 1).

4. Найти спектральную плотность аналогового сигнала, используя операторное исчисление (для пункта 2). Сравнить результаты с пунктом 3.

5. Построить амплитудный спектр аналогового сигнала. Определить ширину спектра

(максимальную частоту fmax) сигнала пороговым методом (для f > fmax амплитуды

спектральных составляющих не превышают уровня 0.1 от максимальной).

6. Вычислить интервал дискретизации Тд≤1/(2 fmax): Тд=0,95/(2 fmax)

7. Провести дискретизацию сигнала сигнал, используя ряд Котельникова. Построить график дискретизированного сигнала.

8. Найти дискретное преобразование Фурье (ДПФ) дискретизированного сигнала (по

пункту 7). Построить график ДПФ.

9. Вычислить шаг квантования: Δ≥(Smax – Smin)/N;

Δ=1,05|Sm|/N для однополярного сигнала;

Δ=2,1|Sm|/N для двухполярного сигнала.

8. Произвести квантование дискретизированного сигнала с заданным числом уровней

квантования. Использовать обратный код записи двоичных чисел (добавляется старший

знаковый бит, равный «0» для положительных значений и «1» для отрицательных, причём

остальные разряды отрицательного числа инвертируются – «0» заменяется на «1», а «1»

заменяется на «0»).

Поместить в таблицу (для всех значений интервалов дискретизации):

- значения дискретизированного сигнала;

- квантованные значения дискретизированного сигнала;

- двоичный код дискретизированного сигнала (в двоичный код преобразовывать не само

квантованное значение напряжения, а номер интервала квантования Е[S(кТд)/Δ ], где Е[х]

– целая часть числа «х»).

- код Грэя.

9. Произвести эффективное кодирование, используя статистические коды,

предназначенные для сокращения избыточности передаваемых сообщений и повышения

эффективности использования каналов связи (коды Хаффмена, Шеннона–Фано - по

вариантам). Кодированные значения поместить в предыдущую таблицу.

10. Вычислить отношение мощности сигнала к мощности шума квантования.

11. Вычислить скорость передачи информации R. Вычислить коэффициент использования

канала.

12. Произвести кодирование корректирующим кодом Хэмминга полученной после

эффективного кодирования последовательности из 6 двоичных слов (из пункта 9).

13. Исказить заданный бит последовательности (из пункта 12).

14. Произвести поиск и восстановление искажённого бита (из пункта 13).

15. Произвести модуляцию заданным видим дискретной модуляции. Амплитуду

максимального радиоимпульса принять 100 мВ. Нарисовать временной вид первых 10 бит (из пункта 12).

16. Вычислить отношение мощности сигнала к мощности шума.

17. Нарисовать обобщённую структурную схему системы связи для передачи непрерывных сообщений дискретными сигналами, привести подробное описание назначения входящих в неё блоков. Преобразования сообщения и сигналов в системе связи проиллюстрировать приведением временных, векторных и спектральных диаграмм на выходе каждого блока системы связи с соблюдением единого масштаба по оси абсцисс (по возможности привести диаграммы по результатам расчётов, там, где это невозможно, ограничиться качественными зависимостями). Подробно пояснить диаграммы.

...

Скачать:   txt (28.5 Kb)   pdf (1 Mb)   docx (1.4 Mb)  
Продолжить читать еще 7 страниц(ы) »
Доступно только на Essays.club