Essays.club - Получите бесплатные рефераты, курсовые работы и научные статьи
Поиск

Кровотечения из верхних отделов пищеварительного тракта

Автор:   •  Январь 29, 2019  •  Реферат  •  8,021 Слов (33 Страниц)  •  628 Просмотры

Страница 1 из 33

Тема:

Кровотечения из верхних отделов пищеварительного тракта.

СОДЕРЖАНИЕ.

  1. Введение. Актуальность темы……………………………………………………….........3
  2. Анатомия…………………………………………………...…............................................3
  3. Этиология и патогенез  желудочно-кишечных кровотечений.........................................6
  4. Классификация острых желудочно-кишечных кровотечений из верхних отделах желудочно-кишечного тракта..............................................................................................8
  1. Патогенетический принцип систематизации
  2. Объединение заболеваний по локализации
  3. В зависимости от интенсивности кровотечения
  4. Классификация степени тяжести по Горбашко
  1. Язвенные желудочно-кишечные кровотечения............................................................................11
  1. Острые язвы органов пищеварительного тракта, осложненные кровотечением
  2. Перфорация желудочно-кишечных язв, осложненных кровотечением.
  1. Неязвенные желудочно-кишечные кровотечения........................................................................14
  1. Острые желудочно- кишечные кровотечения из верхних отделах желудочно-кишечного тракта опухолевой этиологии..................................................................14
  • Злокачественные опухоли органов пищеварительного тракта верхних отделов.
  • Доброкачественные опухоли и полипы органов пищеварительного тракта верхних отделов.
  1. Эрозивные геморрагические гастриты.......................................................................16
  2. Кровотечения из варикозных вен пищевода и кардии..............................................17
  3. Грыжи пищеводного отверстия диафрагмы...............................................................18
  4. Системные заболевания крови, осложненные кровотечением................................19
  •  Острый лейкоз
  •  Хронические лейкозы
  •  Геморрагический васкулит
  •  Гемофилия
  •  Тромбоцитопеническая пурпура
  •  Злокачественное малокровие                                                                                                    
  1. Другие заболевании, вызывающие острые кровотечения из верхних

 отделов желудочно-кишечного тракта......................................................................23

  • Атеросклероз и гипертоническая болезнь
  • Дивертикулы органов пищеварительного тракта
  • Синдром Маллори—Вейсса
  1. Крвотечения из дыхательных путей, стимулирующие острые желудочно- кишечные кровотечения...............................................................................................25
  1. Forrest classification.............................................................................................................26
  2. Алгоритм действий хирурга приемного отделения при поступлении больного с желудочно-кишечным кровотечением.............................................................................26
  3. Алгоритм диагностики источника кровотечения............................................................27
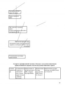
  4. Алгоритм трансфузионной тактики у больных с желудочно-кишечными кровотечениями из верхних отделов желудочно-кишечного тракта.............................28
  5. Прогноз рецидива кровотечения.......................................................................................29
  6. Алгоритм действий хирурга у больного с остановившимся кровотечением из язвы желудка................................................................................................................................29
  7. Алгоритм действий хирурга у больного с остановившимся кровотечением из язвы ДПК......................................................................................................................................30
  8. Алгоритм консервативной терапии при гастродуоденальном кровотечении и кровотечении из расширенных вен пищевода.................................................................31
  9. Статистика кровотечений из верхних отделов желудочно-кишечного тракта  6.........31
  10. Список литературы.............................................................................................................33

ВВЕДЕНИЕ. Актуальность темы.

Частота кровотечений из верхних отделов пищеварительного тракта составляет 30

случаев на 100 000 населения. Уровень смертности от кровотечений из верхних

отделов пищеварительного тракта колеблется в пределах от 5 до 10% и в развитых

странах имеет некоторую тенденцию к снижению. От кровотечения умирают в

...

Скачать:   txt (110.7 Kb)   pdf (374.9 Kb)   docx (129.9 Kb)  
Продолжить читать еще 32 страниц(ы) »
Доступно только на Essays.club