Essays.club - Получите бесплатные рефераты, курсовые работы и научные статьи
Поиск

Отчет о результатах исследования глубинных проб пластовой нефти, отобранные из скважины 200 месторождения Каражанбас

Автор:   •  Октябрь 4, 2018  •  Реферат  •  1,702 Слов (7 Страниц)  •  946 Просмотры

Страница 1 из 7

                                                                                                                                       АО «Каражанбасмунай»[pic 1]

УТВЕРЖДАЮ:

Директор АФ

ТОО «АЛСТРОН»

_____________Равнюшкин Д.В.

«____»_______________2014 г.

ОТЧЕТ

о результатах исследования глубинных проб пластовой нефти, отобранные из скважины 200

 месторождения Каражанбас

[pic 2]

Актау, 2014 г.


        РЕФЕРАТ

        Отчет состоит из:  страниц 17, таблиц 7, рисунков 3.

        НЕФТЬ ПЛАСТОВАЯ, НЕФТЬ ДЕГАЗИРОВАННАЯ, ДАВЛЕНИЕ НАСЫЩЕНИЯ НЕФТИ ГАЗОМ, ГАЗОСОДЕРЖАНИЕ ПЛАСТОВОЙ НЕФТИ, ПЛОТНОСТЬ ПЛАСТОВОЙ НЕФТИ, ВЯЗКОСТЬ, ОБЪЕМНЫЙ КОЭФФИЦИЕНТ, КОМПОНЕНТНЫЙ СОСТАВ ДЕГАЗИРОВАННОЙ, ПЛАСТОВОЙ НЕФТИ, НЕФТЯНОГО ГАЗА, ОДНОКРАТНОЕ РАЗГАЗИРОВАНИЕ ПЛАСТОВОЙ НЕФТИ, СВОЙСТВА ДЕГАЗИРОВАННОЙ НЕФТИ.

п/п

СОДЕРЖАНИЕ

Стр.

1

Пояснительная записка

5-7

2

Сведения о глубинных пробах (таблица 1)

8

3

Таблица основных результатов исследований

9

4

Компонентный состав выделившегося газа при однократном

разгазировании пластовой нефти

10-11

5

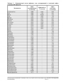
Компонентный состав дегазированной и пластовой нефти

12

6

Графики определения давления насыщения нефти газом при

проведении опыта объемного расширения системы при постоянной массе

13-14

7

График зависимости вязкости пластовой нефти от температуры при пластовом давлении

15

8

Компонентный состав пластовой нефти.

16

9

Физико-химические свойства дегазированной нефти

17

ПОЯСНИТЕЛЬНАЯ ЗАПИСКА

ЛАБОРАТОРИЯ ИССЛЕДОВАНИЯ ПЛАСТОВЫХ ФЛЮИДОВ

Заявитель:  ТОО "Алстрон"

Объект испытания:  Глубинные пробы пластовой нефти из скважины

Идентификационный код пробы: Проба № 1 - 186/200, Проба № 2 - 187/200

Место отбора:  Месторождение Каражанбас, скважина 200

Дата поступления проб в лабораторию:  18.09.2014 г.

Дата отбора проб:  15.09.2014.

Дата проведения испытания:  18.09-30.09.2014 г.  

Цель испытания:  Получение данных по физико-химическим свойствам и составу глубинных проб пластовой нефти, дегазированной нефти и растворенного газа

Условия окружающей среды: T= 22,0°С, относительная влажность 59 %, давление 103,0 кПа

Настоящая работа выполнена на основании Договора №14KGD-0898 от 10.06.2014 г., заключенного с AО «Каражанбасмунай». Проведено комплексное исследование глубинных  проб пластовой нефти, отобранных из скважины  200.Горизонт А1Б, интервал перфорации 259-265, 268-270 (изолирован Г 295-297, 299-305 m) .

        Цель работы – получение данных по физико-химическим свойствам и составу пластовой нефти, дегазированной нефти и растворенного газа.

        Глубинные пробы пластовой нефти из скважины 200 отобраны 15.09.2014 г компанией ТОО «Алстрон» пробоотборником ВПП-300.

        Исследование глубинных проб проводилось при следующих термобарических условиях:

  • Давление пластовое начальное, МПа – 4,05;
  • Температура пластовая начальная, оС – 26

Пробы исследована 18.09-30.09.2014 г на системе PVT Модели 3000 GL с цифровым газометром «Мodel-2331D» (компания «Chandler Engineering» США). Перевод пробы из пробоотборных камер в нефтяную ячейку PVT осуществлялся с помощью гидравлического  насоса «Qizix» («Chandler Engineering»)  при давлении на 1,5-3,0 МПа выше пластового давления.

...

Скачать:   txt (24.7 Kb)   pdf (295.3 Kb)   docx (177.8 Kb)  
Продолжить читать еще 6 страниц(ы) »
Доступно только на Essays.club