Essays.club - Получите бесплатные рефераты, курсовые работы и научные статьи
Поиск

Художественное произведение как система

Автор:   •  Ноябрь 8, 2021  •  Лекция  •  2,923 Слов (12 Страниц)  •  1,646 Просмотры

Страница 1 из 12

Лекция 3 Художественное произведение как система

Литературное художественное произведение – это выраженный в слове результат эстетического постижения автором в конкретный момент времени реальной действительности, мыслимой целостно (О. В. Сосновская).

Художественное произведение имеет две стороны: внешнюю и внутреннюю. Воссоздаваемая целостность – эстетический объект (внутренняя сторона произведения) – реализуется в артефакте (его внешней стороне).

Внешний план произведения обеспечивает его стабильность, сохранность, а также доступность читателю. Внутреннее устройство (эстетический объект) пробуждает читательское воображение, рождает в сознании читателя образ созданного автором предметного мира.

Художественный образ в литературе, по мнению Ольги Вадимовны Сосновской, это субъективный образ объективного мира, творческий синтез реальности и авторского (субъективного) отношения к ней, выраженного словом. Иначе говоря, художественный образ – компонент ранее не существующей художественной действительности, созданной авторским воображением и материализованной в слове.

В основе современного литературоведения лежит представление о художественном тексте как о системном единстве. При рассмотрении любой системы важно не только выделить, описать составляющие ее элементы, но и проанализировать их взаимосвязь.

Обозначим ключевые объекты анализа, такие, как композиция, сюжет, персонажи и их система, система пространственно-временных координат. В итоге литературное произведение должно предстать как целостное единство взаимосвязанных компонентов, каждый из которых обладает специфическими выразительными возможностями. (Из Рыжковой)

Рассмотрим основные компоненты художественного произведения:

Композиция. Композиция (от лат. сomposition – составление, соединение) – соединение частей в целое. В широком смысле этот литературоведческий термин может быть понят как «устройство произведения», его структура.

В. Е. Хализев определяет композицию как взаимную соотнесённость и расположение единиц изображаемого и художественно-речевых средств. Композиция осуществляет единство и целостность художественных творений. В. Е. Хализев утверждает, что совокупность композиционных приёмов и средств стимулирует восприятие литературного произведения.

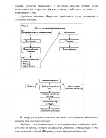
Структура произведения (композиция в широком смысле)[pic 1][pic 2]

внешнее устройство

внутреннее устройство

деление произведения на книги, части, главы (произведения эпические), явления, акты, картины (произведения драматические), песни, строфы, стихи (произведения лирические в стихотворной форме)

устройство художественного мира как целого[pic 3][pic 4]

Объектная сторона – организация предметного мира, выраженная в сюжетном построении

Субъектная сторона – организация словесной ткани произведения, соотнесённую с предметным миром и зависящую от воли автора (голоса персонажей)

Композиция в узком смысле – организованный автором словесный ряд произведения, т. е. организация произведения как речевого высказывания. Сугубо литературное значение термина композиция по Ольге Вадимовне Сосновской - система голосов в художественном произведении.

Композиция — понятие очень широкое и многогранное, включающее исследование как компонентов текста, так и компонентов предметного мира произведения.

Компоненты текста придают литературному произведению характер цельности и завершенности. Знакомству читателя с текстом произведения предшествуют элементы, которые в литературоведении принято обозначать как рамочные компоненты: имя автора, название, посвящение и эпиграф, жанровое обозначение текста. (В ПООП НОО в формировании разделе формирование речевой и читательской деятельности отмечено, что ученик научится «прогнозировать содержание текста художественного произведения по заголовку, автору, жанру и осознавать цель чтения»)

...

Скачать:   txt (41.9 Kb)   pdf (410.6 Kb)   docx (272.9 Kb)  
Продолжить читать еще 11 страниц(ы) »
Доступно только на Essays.club