Essays.club - Получите бесплатные рефераты, курсовые работы и научные статьи
Поиск

Задачи по "Демографии"

Автор:   •  Март 25, 2018  •  Задача  •  813 Слов (4 Страниц)  •  1,748 Просмотры

Страница 1 из 4

Задание №1: рассчитать общие коэффициенты рождаемости ( n ), смертности ( m ), естественного, миграционного и общего приростов населения (Кеп, Кмп, Коп), используя данные таблицы "Динамика населения Омской области в 2000 и 2013 годах". Сравните ситуацию и сделайте краткие выводы.

Таблица.Динамика населения Омской области в 2010 – 2013 годах.

Показатели

2010 год

2013 год

Численность населения на начало года, тыс. человек

1980,3

1974,0

Численность населения на конец года, тыс. человек

1976,3

1973,9

Родилось, человек

26239

29072

Умерло, человек

27552

26408

Прибывшие, человек

27857

54763

Выбывшие, человек

30485

57536

Решение:

  1. рассчитаем общие коэффициенты рождаемости в 2010 и 2013 годах:

  , где[pic 1]

N- число родившихся за год.

T- рассматриваемый период.

- среднегодовая численность населения  территории.[pic 2]

 промилле.[pic 3]

  промилле.[pic 4]

  1. рассчитаем общие коэффициенты смертности в 2010 и 2013 годах:

 где[pic 5]

M- число случаев смерти за год.

T- рассматриваемый период.

- среднегодовая численность населения территории.[pic 6]

 промилле.[pic 7]

 промилле.[pic 8]

  1. рассчитаем общие коэффициенты естественного прироста за 2010 и 2013 года:

Kест= n-m , где

n- общий коэффициент рождаемости.

m- общий коэффициент смертности.

Kест.2010=13263,408-13927,11= -663,702 промилле.

Kест.2013=14727,83-13378,25=1349,58 промилле.

  1. рассчитаем общие коэффициенты миграционного прироста за 2010 и 2013 года:

 , где[pic 9]

V+- число прибывших на данную территорию.

V-- число выбывших из данной территории.

- среднегодовая численность населения проживающих на данной территории.[pic 10]

 случая на 1000 человек населения.[pic 11]

 случая на 1000 человек населения.[pic 12]

  1. Рассчитаем коэффициент общего прироста населения за 2010 и 2013 года:

Kо.п=Kе.п+Kм.п

Kо.п2010=-663,702+(-1,3)= -662,402 промилле.

Kо.п2013=1349,58+(-1,40)=1348,18 промилле.

Вывод: анализируя коэффициенты рождаемости и смертности можно увидеть повышение рождаемости к 2013 году, и уменьшение уровня смертности тем самым прирост населения увеличивается, но вместе с тем согласно коэффициенту миграционного прироста отток населения к 2013 году увеличивается.

Ответ: общий коэффициент рождаемости в 2010 году в Омской области составляет 13263,408 промилле, а в 2013 14727,83 промилле. Общие коэфициенты смертности в Омской области в 2010 году составляют 13927,11 промилле, а в 2013 году 13378,25. Общий коэфициент естественного прироста в 2010 году -663,702 промилле, а в 2013 1349,58 промилле. Общий коэфициент миграционного прироста в 2010 году составляет -1,3 случая на 1000 человек, а к 2013 году уже -1,40 случая на 1000 человек. Коэфициент общего прироста в 2010 году составляет -662,402 промилле, а в 2013 году 1348,18 прмилле.

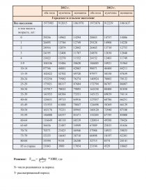
Задание № 2: рассчитать специальный коэффициент рождаемости (Fспец.) за 2012 и 2013 годы, используя данные таблицы «Численность населения Омской области по полу и возрасту». Количество родившихся в Омской области в 2012 году составило 29 503 человека, в 2013 году – 29 072 человека.

 

2012 г.

2013 г.

оба пола

мужчины

женщины

оба пола

мужчины

женщины

Городское и сельское население

Все население

1973985

912015

1061970

1973876

912239

1061637

в том числе в        возрасте, лет:

 

 

 

 

 

 

0

29256

14962

14294

28843

14757

14086

1

26495

13746

12749

29128

14908

14220

2

24916

12874

12042

26465

13710

12755

3

24195

12408

11787

24870

12830

12040

4

23822

12270

11552

24152

12403

11749

5-9

104106

53486

50620

106885

54921

51964

10-14

87746

44881

42865

90671

46460

44211

15-19

102422

52702

49720

97977

50338

47639

20-24

152256

75982

76274

140924

70802

70122

25-29

175921

88317

87604

172794

86707

86087

30-34

157917

78022

79895

162258

80400

81858

35-39

141935

68384

73551

143153

69039

74114

40-44

124631

59715

64916

127037

60786

66251

45-49

131935

61888

70047

124498

58369

66129

50-54

165176

75231

89945

160120

72940

87180

55-59

146008

64337

81671

152203

67195

85008

60-64

116649

48110

68539

120014

49588

70426

65-69

56436

21487

34949

67489

25833

41656

70-74

70371

23425

46946

57988

18953

39035

75-79

55355

16645

38710

60498

18197

42301

80-84

35394

9154

26240

32715

8574

24141

85 и старше

21043

3989

17054

23194

4529

18665

...

Скачать:   txt (12.5 Kb)   pdf (348.9 Kb)   docx (73.4 Kb)  
Продолжить читать еще 3 страниц(ы) »
Доступно только на Essays.club