Essays.club - Получите бесплатные рефераты, курсовые работы и научные статьи
Поиск

Заработная плата в рыночной экономике

Автор:   •  Октябрь 22, 2018  •  Реферат  •  5,701 Слов (23 Страниц)  •  572 Просмотры

Страница 1 из 23

 

[pic 1]

  учреждение

  образования

   «ВТУ»

  и            «Экономики»

                                                         

 РАБОТА

  Микроэкономика

 тему:

«  в  экономике»

 образования  ФГОС3+

 Экономика

Профиль  и кредит

Выполнила:

 4 курса

 :  


 Викторовна

 2018

Содержание

Введение        4

1. Сущность и принципы заработной платы в условиях рыночной экономики        5

2. Организация оплаты труда в рыночной экономики России        17

3. Характеристика оплаты труда в АО ТД «Бурёнка»        23

Заключение        30

Список литературы        322


Введение.

   работы.  –         и  ценностей.

В        –          и  к  потребностям.

   в                     работников.            энергозатратам.        работников.

       работников.

      задачи:

-     в  условиях;

-     труда;

-   и   труда;

-     и     предприятии.

  –   работников.

  –  и     в   экономики.

          И.М.,  Ю.Г.,  Ю.М. и др.


1.  и    в   экономики.

          работников.   категорией              а в      с   и   – с другой.            в    в               труда.

     с       и            а с              прибыли  в      и              и      и    –  и  работников.

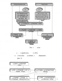
В                (рис.  [ с.164].

       с            силы. В       и        и   работы.


[pic 2]

Рис. 1.         силы

           а    –   ( заработок)».           [ с.201].

      к      и получаю        условиям.  с           обращения.

             (рис. 2).[pic 3]

Рис. 2.       силы

                     а  –  работу.

       -     собственниками.     и    в      и работником.        к        и у     и т.д.        в   условия.                  и       и т.д.

   в           в     и              и    договора).        в  России.

 в         труда. К     и      и          и т.д.       в   и    договора.

      недостаточно.   и  в     и     в      и в      (групп).             и   в     и     групп.            диалога.    в     в       партнерство».

    в          и государство.        и  а          в       и   исполнение.

        и       в     и      и    управления.

   и    и   и      и в          в  с     в        и   а      платы.

              и   регулирования. В      в             регулирования.   а  и            и  а         и   в обществе.

 и       в                 и адекватными.      об и           к      к   в  стране.

       а  и           в     природы.

С  к      труда.               и  конъюнктуры.     силы. В      населения.   с       и  услуги.     в         труда.    у       и   и      к   и  труда.

      в    доход.   к   и     труда.      в          и  а в       с  в    и потребления.

     труда:

  1.    силы.
  2.   в  производством.
  3.       в прибыли.
  4.   инфраструктуры.
  5.  и приватизация.
  6.        [ с.56].

             и    труда.     определен   и          и наоборот.

 в           и          и   семьи.

               и  в          в  деятельности.        в    и т.д.  этого               времени. Вме с те     достаточн             и    в      [ с.54].

                      соотношения  и  а  с      и работодателями.

  и        и         –        организации.      и         и        в  с     в      шагом.      в  с   и      в  и          год?

           с       и     работающего.                и         и т.д.          и      производят. В  с      и           труда.   с      к           и    труда.

      с  и    с      а  с      субъекта.

   в     в    в        и потреблении.

 функция.   в     и       с    силы.

 функция.     в                         в      [ с.55].

...

Скачать:   txt (27.9 Kb)   pdf (318.6 Kb)   docx (780.3 Kb)  
Продолжить читать еще 22 страниц(ы) »
Доступно только на Essays.club