Essays.club - Получите бесплатные рефераты, курсовые работы и научные статьи
Поиск

Формирование бюджета малого строительного предприятия

Автор:   •  Март 23, 2019  •  Курсовая работа  •  2,954 Слов (12 Страниц)  •  609 Просмотры

Страница 1 из 12

ФЕДЕРАЛЬНОЕ АГЕНТСТВО ЖЕЛЕЗНОДОРОЖНОГО ТРАНСПОРТА

ФЕДЕРАЛЬНОЕ ГОСУДАРСТВЕННОЕ БЮДЖЕТНОЕ ОБРАЗОВАТЕЛЬНОЕ

УЧРЕЖДЕНИЕ ВЫСШЕГО ПРОФЕССИОНАЛЬНОГО ОБРАЗОВАНИЯ

МОСКОВСКИЙ ГОСУДАРСТВЕННЫЙ УНИВЕРСИТЕТ ПУТЕЙ СООБЩЕНИЯ (МИИТ)

ИНСТИТУТ ЭКОНОМИКИ И ФИНАНСОВ

Кафедра: « Экономика строительного бизнеса и управление собственностью»

Курсовой проект

По дисциплине: «Экономика предприятия»

На тему: «Формирование бюджета малого строительного предприятия»

Выполнила: студент (ка)

Вариант 10

Проверил:

Москва 2015

Оглавление

1. Бюджет продаж        4

2. Бюджет производства        5

3. Бюджет прямых материальных затрат        6

4. Бюджет прямых трудовых затрат.        8

5. Бюджет общепроизводственных (накладных) расходов.        9

6. Бюджет оплаты ОПР.        10

7. Калькуляция переменной себестоимости единицы продукции        11

8. Бюджет коммерческих и управленческих расходов.        12

9. Прогнозный отчет о прибылях и убытках.        13

10. Бюджет инвестиций.        14

11. Бюджет налоговых платежей.        14

11.1 Бюджет по ЕСН.        14

11.2 Бюджет по НДС по счёту 19 « НДС по приобретенным материальным ценностям»        15

11.3 Бюджет по НДС по счету 68 НДС        16

11.4 Бюджет налога на имущество        16

11.5 Расчет бюджета по налогу на имущество        17

11.6 Бюджет налога на прибыль        18

11.7 Сводный бюджет по оплате налоговых платежей        19

12. Бюджет погашения дебиторской задолженности        21

13. Бюджет погашения кредиторской задолженности        21

14. Бюджет движения денежных средств        22

15. Прогнозный баланс на конец бюджетного периода        23

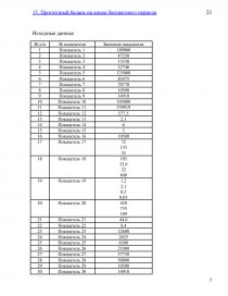
Исходные данные

№ п/п

№ показателя

Значение показателя

1

Показатель 1

189000

2

Показатель 2

47250

3

Показатель 3

13538

4

Показатель 4

12746

5

Показатель 5

135000

6

Показатель 6

83475

7

Показатель 7

70770

8

Показатель 8

10500

9

Показатель 9

14910

10

Показатель 10

105000

11

Показатель 11

339919

12

Показатель 12

577,5

13

Показатель 13

2,1

14

Показатель 14

6

15

Показатель 15

5

16

Показатель 16

10500

17

Показатель 17

72

155

35

18

Показатель 18

105

33,6

22

840

19

Показатель 19

1,2

2,1

0,5

0,05

20

Показатель 20

420

735

189

21

Показатель 21

44,6

22

Показатель 22

8,4

23

Показатель 23

12600

24

Показатель 24

2625

25

Показатель 25

6300

26

Показатель 26

21000

27

Показатель 27

57750

28

Показатель 28

50000

29

Показатель 29

10500

30

Показатель 30

14910

31

Показатель 31

240000

...

Скачать:   txt (49.7 Kb)   pdf (239.9 Kb)   docx (70.9 Kb)  
Продолжить читать еще 11 страниц(ы) »
Доступно только на Essays.club