Essays.club - Получите бесплатные рефераты, курсовые работы и научные статьи
Поиск

Приемы и методы оценки интеллектуальной стоимости

Автор:   •  Июнь 10, 2019  •  Курсовая работа  •  4,103 Слов (17 Страниц)  •  636 Просмотры

Страница 1 из 17

СОДЕРЖАНИЕ

Введение                                                                                                              

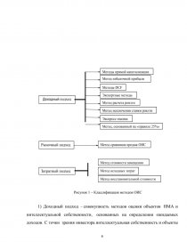
  1. Интеллектуальная собственность: теоретическое представление                  
  2. Определение стоимости ОИС на примере товарного знака ПАО «МТС»
  3. Пути совершенствования оценки ОИС

Заключение

Список использованных источников

Приложения

ВВЕДЕНИЕ

Одним из главных показателей цивилизованного общества во все времена было и продолжает оставаться то, какое внимание уделяется в нем развитию науки, культуры и техники. От того, насколько значителен интеллектуальный потенциал общества и уровень его культурного развития, зависит, в конечном счете, и успех решения стоящих перед ним экономических проблем. В свою очередь наука, культура и техника могут динамично развиваться только при наличии соответствующих условий, включая необходимую правовую защиту и оценку интеллектуальной собственности.

Сегодня область распространения интеллектуальной собственности – не только и не столько личное потребление, а, прежде всего, общественное производство. Любое предприятие как имущественный комплекс, включает в себя две группы элементов – материальные и нематериальные активы. По некоторым данным, доля нематериальных активов в стоимости активов крупнейших компаний мира составляет от 30 до 60%, и эта величина имеет устойчивую тенденцию к росту.

Для написания своей курсовой работы я выбрала тему: «Приемы и методы оценки интеллектуальной стоимости», далее будет использоваться аббревиатура ОИС.

Цель курсовой работы – рассмотреть приемы и методы оценки интеллектуальной собственности на конкретном примере.

Задачи стоят такие, как: теоретический обзор интеллектуальной собственности, характеристика объектов интеллектуальной собственности, рассмотрение экономического аспекта интеллектуального капитала, выявление приемов и методов оценки интеллектуальной собственности.

Объектом исследования – результаты интеллектуальной деятельности как базовый характерный параметр современных экономических отношений.

Предмет исследования – экономические отношения, связанные с инновационной деятельностью, для которых интеллектуальные результаты деятельности являются основной движущей силой в конкурентной борьбе.

Теоретико-методологической основой и информационной базой исследования являются труды отечественных и зарубежных исследователей, посвященные вопросам разделов интеллектуальной собственности и интеллектуальных прав. При написании курсовой работы были использованы: ресурсы Интернет, журнальные статьи, учебные пособия А.А Бовина, Л.Е. Чередниковой, Н.М. Коршуновой и др.

Курсовая работа состоит из содержания, введения, основной части, которая включает в себя три главы, заключения, списка использованных источников и приложений. Во введении обоснована актуальность курсовой работы, указаны цели и задачи. Первая глава основной части содержит теоретическую основу и состоит из трех параграфов. Вторая глава – аналитическая, третья – расчетно-конструктивная. В заключении  сформулированы основные выводы.

 

ОСНОВНАЯ ЧАСТЬ

  1. Интеллектуальная собственность: теоретическое представление

 Понятие и виды объектов интеллектуальной собственности

В соответствии с мировой практикой и материалами Стокгольмской конференции 1967 г., учредившей Всемирную организацию интеллектуальной собственности (ВИОС), под интеллектуальной собственностью понимаются права, относящиеся к литературным, художественным, научным произведениям, исполнительской деятельности, изобретениям, научным открытиям, промышленным образцам, товарным знакам, знакам обслуживания, фирменным наименованиям, коммерческим обозначениям.

Интеллектуальная собственность действует как объект в совершенно различных сделках – начиная с классической купли-продажи и обыденных авторских или лицензионных договоров, продолжая  вкладами  в уставный капитал и коммерческим договором. В сегодняшнее время стоит рассматривать интеллектуальную собственность не иначе как серьезное оружие в конкурентной борьбе, а не второстепенный продукт, получаемый при  разработке изделия иного вида. Важен положительный отклик при решении задачи по привлечению инновационной технологии для повышения конкурентоспособности производимой на ее основе продукции.

...

Скачать:   txt (54.2 Kb)   pdf (333.3 Kb)   docx (799.1 Kb)  
Продолжить читать еще 16 страниц(ы) »
Доступно только на Essays.club