Essays.club - Получите бесплатные рефераты, курсовые работы и научные статьи
Поиск

Планирование показателей предприятия ПАО “Bakery”

Автор:   •  Март 22, 2019  •  Курсовая работа  •  5,596 Слов (23 Страниц)  •  490 Просмотры

Страница 1 из 23

БЮДЖЕТНОЕ УЧРЕЖДЕНИЕ ВЫСШЕГО ОБРАЗОВАНИЯ

ХАНТЫ-МАНСИЙСКОГО АВТОНОМНОГО ОКРУГА-ЮГРЫ

«СУРГУТСКИЙ ГОСУДАРСТВЕННЫЙ УНИВЕРСИТЕТ»

ИНСТИТУТ ЭКОНОМИКИ И УПРАВЛЕНИЯ

Кафедра менеджмента и бизнеса

 КУРСОВОЙ ПРОЕКТ

По дисциплине «Планирование на предприятии»

По теме: «Планирование показателей предприятия ПАО “Bakery”»

Направление подготовки 38.03.02 «Менеджмент»

Профиль «Производственный менеджмент»

Выполнил: студент 3 курса 403-61 группы               Курбатова Екатерина Ивановна

_________________(подпись)

Допущен к защите «____» _____________ 2018 г.

дата

Руководитель: к.э.н., доцент Кожевникова Валентина Дмитриевна

________________(подпись)

Сургут, 2018 г.

СОДЕРЖАНИЕ

Введение……………………………………………………………………...........3

1. Общая характеристика предприятия ПАО “Bakery”………………………...5

2. Планирование основных средств…………………………………………….12

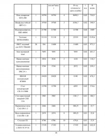
  1.  Краткая характеристика основных средств………………………………..12
  2.  Перечень и характеристика…………………………………………………13
  3. Расчет моделируемого объема………………………………………………14
  4.  Начисление амортизации…………………………………………………...14

3. Планирование оборотных средств……………………………………….…..15

  1.  Краткая характеристика….………………………………………………....15
  2.  Перечень оборотных средств…………………………………………….…16
  3.  Расчет потребности в оборотных средствах (на 1 изделие и т.д.)………..17
  4.  Расчет затрат на оборотные средства………………………………………20

4. Планирование труда и заработной платы……………………..…………….21

  1.  Понятие, виды систем заработной платы………………………………….21
  2.  Производительность труда: понятие, виды, характеристика для планируемого предприятия………………………………………………….22
  3.  Расчет ФЗП и ФОТ……………………………………………………..……24

5. Планирование себестоимости………………………………………………..25

  1.  Теоретические аспекты себестоимости……………………………………25
  2.  Расчет себестоимости (продукции) по предприятию ПАО “Bakery” …...27

6. Планирование продаж и производственная программа……………………29

7. Финансовое планирование……………………………………………….…..32

  1.  Расчет цены…………………………………………………………………..32
  2.  Расчет безубыточного объема………………………………………………33
  3.  Планирование финансовых результатов и финансового баланса предприятия………………………………………………………………..…34

Заключение……………………………………………………………………….37

Список литературы………………………………………………………………39


ВВЕДЕНИЕ

Актуальность планирования определяется тем, что современным предприятиям, развивающимся в нестабильных условиях внешней среды, необходимы предварительный анализ деятельности самой организации и возможность предвидеть изменения внешней среды, поскольку это является непременным условием для дальнейшей выработки последовательности действий по постановке целей и их реализации.

Цель курсовой работы – закрепление теоретических знаний и выработка практических навыков в области стратегического и тактического планирования на предприятии.

В соответствии с этим задачами являются:

  1. изучение теоретических вопросов по планированию показателей для предприятия;
  2. расчёт показателей основных оборотных средств для предприятия;
  3. расчёт показателей труда и заработной платы;
  4. расчёт показателей себестоимости;
  5. расчёт показателей продаж и производственной программы;
  6. расчёт показателей, отражающих финансовые результаты предприятия;
  7. подвести итоги.

Объект планирования: принципы, методики и методы планирования показателей предприятия.

Предмет: расчет показателей по планированию деятельности на предприятии “Bakery”.

В данной курсовой были использованы следующие методы планирования:

- Балансовый метод, в основе которого лежит принцип равенства направлений и объемов использования ресурсов с источниками их поступления.

- Нормативный метод планирования предполагает использование в плановых расчетах абсолютных и относительных норм и нормативов.

...

Скачать:   txt (90.2 Kb)   pdf (521.6 Kb)   docx (147.7 Kb)  
Продолжить читать еще 22 страниц(ы) »
Доступно только на Essays.club