Essays.club - Получите бесплатные рефераты, курсовые работы и научные статьи
Поиск

Металлорганические соединения

Автор:   •  Март 31, 2023  •  Практическая работа  •  1,236 Слов (5 Страниц)  •  421 Просмотры

Страница 1 из 5

Министерство науки и высшего образования Российской Федерации государственное образовательное учреждение высшего образования Новосибирский государственный технический университет

[pic 1]

Кафедра химии и химической технологии

Самостоятельная работа

По теме: «МОС»

Вариант №18

Выполнил:

Матрошилов Ярослав Вадимович

Проверила:

Козлова Анна Владимировна

Механико-технологический факультет

Балл

Оформление

Расчеты, пояснения

Итого:

Группа: ХТ-121

Новосибирск, 2023

1. Какие соединения называют металлоорганическими?

Металлорганические соединения - соединения со связью углерод–металл.

МОС делят на три группы:

1. Соединения металлов, относящихся к главным подгруппам. Эти соединения легко получаются и сравнительно устойчивы. Это соединения Na, Mg, K, Ca и т.д.

2. Соединения переходных металлов. Они менее устойчивы и в меньшей степени изучены, чем соединения металлов главных подгрупп, за исключением соединений Zn, Cd, Hg, которые по электронному строению сходны с элементами главных подгрупп.

3. Комплексные металлические соединения алифатических алкенов и аренов (типа ферроцен). Эти соединения имеют специфическое строение.

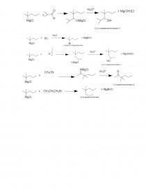
2.Постройте структурную формулу по названию, приведите по 1 изомеру для соединений а),б), з) и дайте им название.

а) диизопропилцинк                                                   дипропилцинк

[pic 2] [pic 3]

б) бромид трет-бутилцинка                                                бромид изобутилцинка

[pic 4] [pic 5]

в) бензилнатрий

[pic 6]

г) бромид аллилмагния

[pic 7]

д) иодид бензилмагния

[pic 8]

е) тетраметилсвинец

[pic 9]

ж) иодид этилртути

[pic 10]

з) диизобутилцинк                                                               дивтор-бутилцинк

[pic 11] [pic 12]

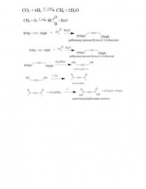
3. Напишите структурные формулы соединений: а) бромид этилмагния; б) пропиллития; в) хлорид этилртути; г) тетраэтилсвинца; г) 1-натрийпропин-1. Расположите эти соединения в порядке уменьшения ионности (полярности) связи углерод – металл.

[pic 13]

Расположите эти соединения в порядке уменьшения ионности (полярности) связи углерод – металл.

Полярная связь – это ковалентная связь с неравномерным распределением электронной плотности между взаимодействующими атомами. Электроотрицательность характеризует способность атома поляризовать ковалентную связь.

Электроотрицательность – количественная характеристика способности атома в молекуле смещать к себе общие электронные пары, то есть способность атомов притягивать к себе электроны других атомов.

Для оценки электроотрицательности атомов воспользуемся распространённой шкалой электроотрицательности по Полингу.[pic 14]

Также электроотрицательность зависит от состояния гибридизации атома.

[pic 15]

Для того, чтобы расположить соединения в порядке уменьшения ионности (полярности) связи углерод – металл следует рассчитать разность электроотрицательности между углеродом и металлов, и чем больше будет разность (Δχ), тем больше будет полярность связи.

[pic 16]

[pic 17]

[pic 18]

[pic 19]

[pic 20]

[pic 21]

 Исходя из полученных значений можно сказать, что в ряду ниже наблюдается уменьшение ионности (полярности) связи

[pic 22][pic 23][pic 24][pic 25][pic 26]

[pic 27]

4. Рассмотрите строение этиллития и хлорэтана с использованием формул Льюиса. Напишите образование ионов при гетеролитическом разрыве связей в этих соединениях.

Гетеролитический (ионный) разрыв связи – это такой разрыв химической связи, когда один из атомов получает при разрыве общую электронную пару. При гетеролитическом разрыве связи образуются ионы – положительно заряженный катион и отрицательно заряженный анион.

...

Скачать:   txt (14.8 Kb)   pdf (761.8 Kb)   docx (1.3 Mb)  
Продолжить читать еще 4 страниц(ы) »
Доступно только на Essays.club