Essays.club - Получите бесплатные рефераты, курсовые работы и научные статьи
Поиск

Организация сопряжения микроконтроллера с матричной клавиатурой и семисегментным светодиодным индикатором

Автор:   •  Март 5, 2019  •  Лабораторная работа  •  1,161 Слов (5 Страниц)  •  635 Просмотры

Страница 1 из 5

ЛАБОРАТОРНАЯ РАБОТА №4

ОРГАНИЗАЦИЯ СОПРЯЖЕНИЯ МИКРОКОНТРОЛЛЕРА С МАТРИЧНОЙ КЛАВИАТУРОЙ И СЕМИСЕГМЕНТНЫМ СВЕТОДИОДНЫМ ИНДИКАТОРОМ

Цель работы: получение навыков в составлении и отладке программы на языке Algorithm Builder для анализа матричной клавиатуры и вывода информации на семисегментные индикаторы.

Задание: необходимо написать программу для анализа матричной клавиатуры и вывода информации (цифр) на семисегментный светодиодный индикатор с использованием языка программирования Algorithm Builder. Результаты работы программы должны сводиться к следующему: при нажатии на кнопку матричной клавиатуры («0» - «9») соответствующая цифра должны выводится на светодиодный индикатор. При этом при нажатии на кнопки «*» и «#» не должно происходить срабатывание и на индикаторе должно остаться предыдущее число. На стенде клавиатура организована в виде матрицы кнопок 4x3.

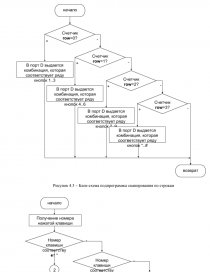
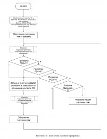
  1. Разработка алгоритма программы.

Клавиатура является одним из широко распространенных устройств ввода данных и управляющих воздействий в микро-ЭВМ. При организации ввода информации с клавиатуры в микро-ЭВМ перед разработчиком ставится ряд задач, основными из которых являются:

          - определение факта нажатия клавиши на клавиатуре:

          - нахождение номера (кода) нажатой клавиши;

          - осуществление передачи управления на соответствующую подпрограмму.

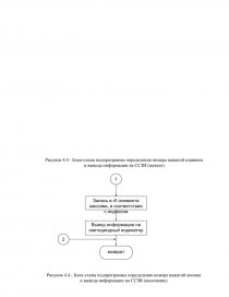
В качестве устройства вывода информации используется дисплей. Одним из наиболее широко применяемых на практике устройств вывода информации является семисегментный светодиодный знаковый индикатор (ССЗИ). Каждый ССЗИ имеет семь излучающих сегментов A – G и точку Н (рис. 4.1).

[pic 1]

Рисунок 4.1 – Сегменты ССЗИ

        Для реализации вывода на единичный ССЗИ в данном стенде используется порт С, выходные буферы которого обеспечивают втекающий ток до 20мА, что позволяет использовать его для непосредственного управления светодиодными индикаторами. Светящимся сегментам соответствуют биты установленные в 0, погашенным  - 1. Коды для цифр «0»-«9» приведены в таблице 4.1.


Таблица 4.1 – Коды для ССЗИ

A

B

C

D

E

F

G

H

код

1

1

0

0

1

1

1

1

1

$F9

2

0

0

1

0

0

1

0

1

$A4

3

0

0

0

0

1

1

0

1

$B0

4

1

0

0

1

1

0

0

1

$99

5

0

1

0

0

1

0

0

1

$92

6

0

1

0

0

0

0

0

1

$82

7

0

0

0

1

1

1

1

1

$F8

8

0

0

0

0

0

0

0

1

$80

9

0

0

0

0

1

0

0

1

$90

0

0

0

0

0

0

0

1

1

$C0

...

Скачать:   txt (14.5 Kb)   pdf (341.7 Kb)   docx (50.2 Kb)  
Продолжить читать еще 4 страниц(ы) »
Доступно только на Essays.club