Essays.club - Получите бесплатные рефераты, курсовые работы и научные статьи
Поиск

Исследование временных рядов

Автор:   •  Июнь 12, 2018  •  Контрольная работа  •  764 Слов (4 Страниц)  •  706 Просмотры

Страница 1 из 4

Министерство образования и науки Российской Федерации

Федеральное государственное бюджетное образовательное учреждение

высшего образования

«Сибирский государственный университет науки и технологий

имени академика М. Ф. Решетнева»

Инженерно-экономический институт

Кафедра экономики

КОНТРОЛЬНАЯ РАБОТА

по дисциплине:

Эконометрика

Тема: Исследование временных рядов

Выполнил студент группы МЭИЗ17-01

заочной формы обучения:                                                Кириченко А.Д.

                

Руководитель:                                                                Сенашов С.И.

Дата сдачи:                «____»________2018 г.

Дата защиты:        «____»________2018 г.

Оценка:__________________                         ________________________

                                                                                                      (подпись руководителя)

Красноярск 2018


Целью контрольной работы является самостоятельное исследование, в котором проводится анализ коротких временных рядов.

Исходными данными для выполнения работы являются значения, заносимые в первые 3 столбца Таблицы 1.

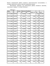
Таблица 1.

Дата

$

N дня

Прогноз

Ошибка

 

 

 

---------

yt

t

y^t

et

(eti-et(i-1))2

et2

(t-t-)2

07.10.2006

26,780

1

26,936

-0,156

 

0,024

210,250

08.10.2006

26,780

2

26,931

-0,151

0,000

0,023

182,250

09.10.2006

26,810

3

26,926

-0,116

0,001

0,013

156,250

10.10.2006

26,892

4

26,920

-0,028

0,008

0,001

132,250

11.10.2006

26,889

5

26,915

-0,026

0,000

0,001

110,250

12.10.2006

26,954

6

26,910

0,044

0,005

0,002

90,250

13.10.2006

26,951

7

26,905

0,046

0,000

0,002

72,250

14.10.2006

26,951

8

26,900

0,051

0,000

0,003

56,250

15.10.2006

26,951

9

26,895

0,056

0,000

0,003

42,250

16.10.2006

26,931

10

26,889

0,042

0,000

0,002

30,250

17.10.2006

26,969

11

26,884

0,085

0,002

0,007

20,250

18.10.2006

26,945

12

26,879

0,066

0,000

0,004

12,250

19.10.2006

26,929

13

26,874

0,055

0,000

0,003

6,250

20.10.2006

26,935

14

26,869

0,066

0,000

0,004

2,250

21.10.2006

26,935

15

26,863

0,072

0,000

0,005

0,250

22.10.2006

26,935

16

26,858

0,077

0,000

0,006

0,250

23.10.2006

26,851

17

26,853

-0,002

0,006

0,000

2,250

24.10.2006

26,880

18

26,848

0,032

0,001

0,001

6,250

25.10.2006

26,931

19

26,843

0,088

0,003

0,008

12,250

26.10.2006

26,903

20

26,837

0,066

0,001

0,004

20,250

27.10.2006

26,831

21

26,832

-0,001

0,004

0,000

30,250

28.10.2006

26,831

22

26,827

0,004

0,000

0,000

42,250

29.10.2006

26,831

23

26,822

0,009

0,000

0,000

56,250

30.10.2006

26,788

24

26,817

-0,029

0,001

0,001

72,250

31.10.2006

26,748

25

26,812

-0,064

0,001

0,004

90,250

01.11.2006

26,781

26

26,806

-0,025

0,001

0,001

110,250

02.11.2006

26,729

27

26,801

-0,072

0,002

0,005

132,250

03.11.2006

26,728

28

26,796

-0,068

0,000

0,005

156,250

04.11.2006

26,728

29

26,791

-0,063

0,000

0,004

182,250

05.11.2006

26,728

30

26,786

-0,058

0,000

0,003

210,250

...

Скачать:   txt (10 Kb)   pdf (339.4 Kb)   docx (112.2 Kb)  
Продолжить читать еще 3 страниц(ы) »
Доступно только на Essays.club