Essays.club - Получите бесплатные рефераты, курсовые работы и научные статьи
Поиск

Расчетно-графическая работа по "Программированию"

Автор:   •  Март 16, 2022  •  Практическая работа  •  6,774 Слов (28 Страниц)  •  368 Просмотры

Страница 1 из 28

                                                 Содержание

Оглавление

1. ТЕКСТОВАЯ ФОРМУЛИРОВКА ЗАДАНИЙ …………………………………............................3

2. МАТЕМАТИЧЕСКАЯ ФОРМУЛИРОВКА ЗАДАНИЙ…………………….............................4

3. ОБЩАЯ СХЕМА АЛГОРИТМА………………………………………………………………………………..5

4. ДЕТАЛЬНЫЕ СХЕМЫ АЛГОРИТМОВ……………………………………………………………………..6-9

5. РАЗРАБОТКА ПОЛЬЗОВАТЕЛЬСКОГО ИНТЕРФЕЙСА ПРОГРАММЫ........................10-13

6. ТЕКСТ ПРОГРАММЫ……………………………………………………….........................................14-19

7. СПИСОК ИСПОЛЬЗОВАННОЙ ЛИТЕРАТУРЫ………………………………………………………….20

                                1. ТЕКСТОВАЯ ФОРМУЛИРОВКА ЗАДАНИЙ

                                                                      Задание 1:

Вычислить значения двух функций в n равномерно распределенных в диапазоне а ≤ x ≤ b точках. Результаты оформить в виде таблицы.

a = 1, b = 2, n = 18, F1 =, F2 =[pic 1][pic 2]

                                                                      Задание 2:

Разработать программу нахождения корней уравнения f(x) = 0 на интервале [a, b] с точностью e = 0.001 (интервал подобрать самостоятельно). При реализации можно использовать метод половинного деления или метод хорд:

[pic 3]

                                                                     Задание 3:

Разработать программу для вычисления значения определенного интеграла на интервале [a, b] (a, b подобрать самостоятельно) числовыми методами прямоугольников и трапеций:

[pic 4]

Интервал интегрирования разбить равномерно на N>50 частей.

                 

                        2. МАТЕМАТИЧЕСКАЯ ФОРМУЛИРОВКА ЗАДАНИЙ

                                                                  Задание 1:

Для нахождения значения функции необходимо подставить текущее значение аргументов в уравнения. Задача табулирования функции начинается с вычисления значения аргумента по формуле. Затем в цикле вычисляются значения этих функций от аргумента на заданном интервале [a, b].

                                                                  Задание 2:

Алгоритм нахождения корня на интервале методом половинного деления осуществляется следующими действиями:

1) Вычисляется значение интервала  .[pic 5]

2) Если , где е = 0.001 определяет погрешность вычислений, то "e" будет являться приближенным значением корня уравнения и будет выводиться, как результат расчетов. [pic 6]

3) Если , то проверяются знаки функций f(a) и f(x) на концах отрезка [a, x], для чего вычисляется их произведение. Если f(a)f(x)>0, то корень расположен на отрезке [а, x]. В этом случае необходимо точку b переместить в точку x (b=x).[pic 7]

4) Иначе, если f(a) f(x)<0, то корень расположен на отрезке [ х , b ]. В этом случае необходимо точку а переместить в точку х (а=х).

5) Вычисления по схеме п.1-п.4 повторяются в итерационном цикле до тех пор, пока не выполнится условие п.2 -.[pic 8]

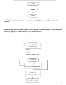
                                                                Задание 3:

При решении интеграла методом трапеций отрезок интегрирования разбивается несколько промежуточных отрезков, и график подынтегральной функции приближается ломаной линией. Приближенное значение интеграла определяется суммой площадей трапеций, построенных на интервале [a, b], где . Отсюда и название метода.                                    [pic 9]

                     

                            [pic 10]

                                                                         

                                     

                                                     3. ОБЩАЯ СХЕМА АЛГОРИТМА

Расчетно-графическая работа объединяет следующие задачи:

− анимация;

− расчет двух функций с выводом результатов на экран в виде таблицы;

− построения графиков этих функций;  

− нахождение корня линейного уравнения;

− расчет определенного интеграла

 − выход из программы;

...

Скачать:   txt (25.5 Kb)   pdf (542.6 Kb)   docx (789.9 Kb)  
Продолжить читать еще 27 страниц(ы) »
Доступно только на Essays.club