Essays.club - Получите бесплатные рефераты, курсовые работы и научные статьи
Поиск

Организация угодий и севооборотов СПК «Победа» муниципального района Челно-Вершинский Самарской области

Автор:   •  Май 29, 2019  •  Дипломная работа  •  11,305 Слов (46 Страниц)  •  635 Просмотры

Страница 1 из 46

Министерство сельского хозяйства Российской Федерации

 федеральное государственное образовательное учреждение

высшего образования

 «Самарская государственная сельскохозяйственная академия»

Агрономический факультет

Кафедра «Землеустройство, почвоведение и агрохимия»

ВЫПУСКНАЯ

КВАЛИФИКАЦИОННАЯ РАБОТА

студента:                         Олениной Александры Сергеевны

На тему: «Организация угодий и севооборотов СПК «Победа»                         муниципального района Челно-Вершинский  Самарской   области»

Руководитель работы: к.с.-х.н., доцент                       Е.А. Бочкарев

К защите допускается

Зав. кафедрой, к.с.-х.н., профессор                                  С.Н.Зудилин

Кинель 2017

ОГЛАВЛЕНИЕ

ВВЕДЕНИЕ        5

1. МЕТОДОЛОГИЧЕСКИЕ ОСНОВЫ ЗЕМЛЕУСТРОЙСТВА

(ОБЗОР ЛИТЕРАТУРЫ)        7

2 ПРИРОДНЫЕ И ЭКОНОМИЧЕСКИЕ УСЛОВИЯ ХОЗЯЙСТВА.        16

ПЕРСПЕКТИВЫ ЕГО РАЗВИТИЯ        16

2.1 Общие сведения о хозяйстве        16

2.2 Природные условия хозяйства        17

2.3 Современное состояние сельскохозяйственного производства        21

и перспективы развития хозяйства        21

3 СОВЕРШЕНСТВОВАНИЕ ВНУТРИХОЗЯЙСТВЕННОЙ        23

ОРГАНИЗАЦИИ ТЕРРИТОРИИ        23

3.1 Агроэкологическая классификация земель по пригодности для        сельскохозяйственных культур        23

3.2 Трансформация, улучшение и размещение угодий        27

3.3 Определение потребности хозяйства в кормах        31

3. Минеральные – костная мука, кухонная соль, мел и другие, которые вырабатываются предприятиями химической промышленности и используются как добавки к кормам для сбалансированности их минерального состава;        32

3.4 Организация севооборотов.        38

Расчет баланса гумуса в севооборотах        38

4. УСТРОЙСТВО ТЕРРИТОРИИ СЕВООБОРОТОВ И КОРМОВЫХ УГОДИЙ        44

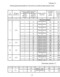
4.1 Проектирование агроэкологических однородных рабочих участков           и полей севооборотов        44

4.2 Размещение полевых дорог        54

4.3 Размещение полезащитных лесных полос        55

4.4 Размещение полевых станов и источников водоснабжения        57

4.5  Устройство территории кормовых угодий        58

5. ЭКОНОМИЧЕСКАЯ ЭФФЕКТИВНОСТЬ ОРГАНИЗАЦИИ        65

СЕВООБОРОТОВ        65

6 ОХРАНА ОКРУЖАЮЩЕЙ СРЕДЫ ПРИ

ВНУТРИХОЗЯЙСТВЕННОМ ЗЕМЛЕУСТРОЙСТВЕ        72

ЗАКЛЮЧЕНИЕ        74

СПИСОК ИСПОЛЬЗОВАННЫХ ЛИТЕРАТУРНЫХ ИСТОЧНИКОВ        76


РЕФЕРАТ

Выпускная квалификационная работа на тему « Организация угодий и севооборотов СПК «Победа»  муниципального района Челно-Вершинского  Самарской области» изложена на 78 страницах машинописного текста, включает 22 таблицы, 3 рисунка. Список  использованной литературы и источников насчитывает 34 источника.

В проекте проанализировано состояние сельскохозяйственного производства и перспективы его развития, определена структура посевных площадей, произведена трансформация угодий,  предусмотрено увеличение площади пашни на 348 га, предложена адаптивная организация угодий и севооборотов на агроэкологической основе.

...

Скачать:   txt (173.1 Kb)   pdf (1 Mb)   docx (1.3 Mb)  
Продолжить читать еще 45 страниц(ы) »
Доступно только на Essays.club