Essays.club - Получите бесплатные рефераты, курсовые работы и научные статьи
Поиск

Отчет по практике в ЗАО Племзавод «Семеновский»

Автор:   •  Декабрь 12, 2024  •  Отчет по практике  •  5,266 Слов (22 Страниц)  •  274 Просмотры

Страница 1 из 22

СОДЕРЖАНИЕ

ВВЕДЕНИЕ        4

1. ХАРАКТЕРИСТИКА ЗАКРЫТОГО АКЦИОНЕРНОГО ОБЩСТВА ПЛЕМЗАВОД «СЕМЕНОВСКИЙ»        6

1.1. Общие сведения об организации        6

1.2. Производственная структура организации и структура управления        9

1.3. Динамика основных финансово-экономических показателей организации        12

2. ЭКОНОМИЧЕСКИЙ АНАЛИЗ ХОЗЯЙСТВЕННОЙ ДЕЯТЕЛЬНОСТИ ОРГАНИЗАЦИИ        17

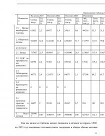
2.1. Наличие, движение, состояние и использование основных средств        17

2.2 Состав, структура и динамика затрат на производство и реализацию продукции (работ, услуг)        21

3. АНАЛИЗ ФИНАНСОВОГО СОСТОЯНИЯ И ФИНАНСОВЫХ РЕЗУЛЬТАТОВ ДЕЯТЕЛЬНОСТИ ОРГАНИЗАЦИИ        24

3.1. Имущественное положение организации        24

ЗАКЛЮЧЕНИЕ        32

БИБЛИОГРАФИЧЕСКИЙ СПИСОК        33

ПРИЛОЖЕНИЯ        37

ВВЕДЕНИЕ

Производственная практика – важнейшая составная часть учебного процесса, направленная на закрепление и углубление теоретической подготовки обучающегося и приобретение им практических навыков и компетенций в сфере профессиональной деятельности.

Главной целью прохождения практики является достижение планируемых результатов обучения – знаний, умений, навыков и/или опыта деятельности, характеризующих формирование компетенций и обеспечивающих достижение планируемых результатов освоения ОП (см. аттестационный лист).

Практика направлена на:

- ознакомление с будущей профессией;

- приобретение профессиональных умений и опыта профессиональной деятельности;

- закрепление теоретических знаний, полученных при изучении дисциплин;

- приобщение обучающегося к социальной среде предприятия (организации) с целью формирования личностных качеств, необходимых для работы в профессиональном коллективе.

Задачами производственной практики, направленными на достижение ее целей, являются:

- ознакомление с конкретной организацией (учреждением, предприятием);

- ознакомление с содержанием основных работ, выполняемых на предприятии или в организации;

- закрепление, развитие и углубление в производственных условиях теоретических знаний в области экономики, финансирования, инвестиционной деятельности, бухгалтерского учета, налогообложения;

- усвоение приемов, методов и способов обработки, анализа, интерпретации финансовой, бухгалтерской и иной информации, содержащейся в отчетности предприятий, организаций, ведомств и использование полученных сведений для принятия управленческих решений;

- формирование навыков долгосрочного и краткосрочного финансового планирования деятельности экономического субъекта, налогового планирования организации;

-  анализ финансово-хозяйственной деятельности экономического субъекта и выявление возможности повышения ее эффективности;  

- формирование навыков использования современных технических средств и информационных технологий для решения аналитических задач;

- формирование навыков документального оформления результатов проведенного анализа и выработки выводов по проделанной работе;

- получение навыков практической работы путем занятия вакантных экономических должностей или дублирования работы штатных сотрудников по экономическим специальностям на предприятиях и в организациях.

1. ХАРАКТЕРИСТИКА ЗАКРЫТОГО АКЦИОНЕРНОГО ОБЩСТВА ПЛЕМЗАВОД «СЕМЕНОВСКИЙ»

1.1. Общие сведения об организации

Закрытое акционерное общество Племзавод «Семеновский» (ЗАО Племзавод «Семеновский») как некоммерческая организация является важным социально-экономическим субъектом рыночной экономики. В настоящее время это одно из самых крупных предприятий системы Марпотребсоюза как по объемам деятельности, так и по численности работающих. Предприятие действует на основании Устава, было основано в  1960 году. Руководителем ООО «Племзавод Семеновский» является Козырев Александр Сергеевич. Уставной капитал предприятия составляет на 1 января 2018 года составляет 1060 тыс. рублей. Количество пайщиков – 420 физических лиц и 11 юридических лиц. В своей деятельности ЗАО Племзавод «Семеновский» руководствуется такими нормативно-правовыми актами, как:

...

Скачать:   txt (79.8 Kb)   pdf (284.5 Kb)   docx (108.2 Kb)  
Продолжить читать еще 21 страниц(ы) »
Доступно только на Essays.club