Essays.club - Получите бесплатные рефераты, курсовые работы и научные статьи
Поиск

Исследование процессов заряда и разряда конденсатора

Автор:   •  Октябрь 22, 2021  •  Лабораторная работа  •  1,071 Слов (5 Страниц)  •  733 Просмотры

Страница 1 из 5

ПЕРВОЕ ВЫСШЕЕ ТЕХНИЧЕСКОЕ УЧЕБНОЕ ЗАВЕДЕНИЕ РОССИИ

[pic 1]

МИНИСТЕРСТВО НАУКИ И ВЫСШЕГО ОБРАЗОВАНИЯ РОССИЙСКОЙ ФЕДЕРАЦИИ

федеральное государственное бюджетное образовательное учреждение

высшего образования

«САНКТ-ПЕТЕРБУРГСКИЙ ГОРНЫЙ УНИВЕРСИТЕТ»

 

Кафедра общей и технической физики

Отчет по лабораторной работе №3

По дисциплине                         Физика

 (наименование учебной дисциплины согласно учебному плану)

Тема:          Исследование процессов заряда и разряда конденсатора

                                                                        

Автор: студент гр.           ______________                

                                                                                                 

                    (подпись)                                                (Ф.И.О.)

ПРОВЕРИЛ:                                       _____________                 ___________________

                              (должность)                   (подпись)                                               (Ф.И.О.)

ОЦЕНКА:        _____________

Дата: 

Санкт-Петербург

 2021

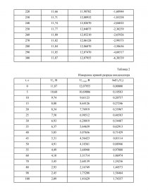
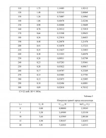
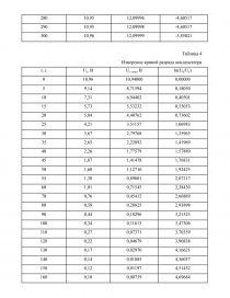
Цель работы – 1) экспериментальная проверка экспоненциального характера процессов заряда и разряда конденсатора;

2) экспериментальное определение постоянной времени RC-цепи.

Теоретические основы лабораторной работы:

Явления, изучаемые в работе: заряд и разряд конденсатора.

Определение основных физических понятий, объектов, процессов и величин:

Электроёмкость (ёмкость) проводника – это коэффициент пропорциональности, равный отношению накопленного на проводнике заряда к его потенциалу: [pic 2].

Электроёмкость характеризует способность проводников накапливать электрический заряд и измеряется в фарадах (Ф). Электроемкость уединенного проводника зависит только от его размеров, формы и диэлектрических свойств окружающей среды и не зависит от заряда на проводнике.

Конденсатор – это система из двух изолированных друг от друга проводников, которые называют пластинами (обкладками), которые могут иметь любую форму. Пространство между пластинами может быть заполнено диэлектриком.

Диэлектрик – вещество, практически не проводящее электрический ток.

Ёмкостью конденсатора называется величина:[pic 3], где U – разность потенциалов между обкладками конденсатора.

Величина электроёмкости конденсатора зависит от формы и размеров обкладок, расстояния между ними и диэлектрических свойств среды, заполняющей пространство между обкладками. В качестве обкладок обычно используется тонкая металлическая фольга, а диэлектрики могут быть твердыми, жидкими и газообразными.

Законы и соотношения:

  1. Второе правило Кирхгофа:

[pic 4]

где Ik – сила тока на k-ом электрическом элементе, Rk – сопротивление на k-ом электрическом элементе,  – ЭДС в контуре.[pic 5]

  1. Закон Ома для участка цепи:

,[pic 6]

где Ik – сила тока на элементе цепи, Rk – сопротивление на элементе цепи, Uk – напряжение на элементе цепи.

  1. Зависимость зарядного тока от времени в соответствии с законом Ома:

[pic 7],

где I0, А;

t – время заряда конденсатора, с;

R – сопротивление резистра, Ом;

C – ёмкость конденсатора, Ф.

  1. Разрядный ток в соответствии с законом Ома:

[pic 8],

где [pic 9] – сила тока в момент времени = 0, А;

t – время разряда конденсатора, с;

R – сопротивление резистра, Ом;

...

Скачать:   txt (14.5 Kb)   pdf (568.5 Kb)   docx (950.2 Kb)  
Продолжить читать еще 4 страниц(ы) »
Доступно только на Essays.club