Essays.club - Получите бесплатные рефераты, курсовые работы и научные статьи
Поиск

Определение количества информации, содержащегося в сообщении

Автор:   •  Январь 18, 2023  •  Контрольная работа  •  637 Слов (3 Страниц)  •  344 Просмотры

Страница 1 из 3

МИНИСТЕРСТВО НАУКИ И ВЫСШЕГО ОБРАЗОВАНИЯ РОССИЙСКОЙ ФЕДЕРАЦИИ        Федеральное государственное автономное образовательное учреждение                                высшего образования                                                                                                                     «САНКТ-ПЕТЕРБУРГСКИЙ ГОСУДАРСТВЕННЫЙ УНИВЕРСИТЕТ             АЭРОКОСМИЧЕСКОГО ПРИБОРОСТРОЕНИЯ»

КАФЕДРА ПРИКЛАДНОЙ МАТЕМАТИКИ

ОЦЕНКА РАБОТЫ

ПРЕПОДАВАТЕЛЬ

           [pic 1]

       должность, уч.степень, звание                              подпись, дата                                 инициалы, фамилия[pic 2][pic 3]

КОНТРОЛЬНАЯ РАБОТА №1

«Определение количества информации, содержащегося в сообщении»

по дисциплине: ИНФОРМАТИКА

Вариант №6

ОТЧЁТ  ВЫПОЛНИЛ(А)

СТУДЕНТ(КА) ГР.             [pic 4][pic 5][pic 6]

                                                                                                подпись, дата                     инициалы, фамилия

Санкт-Петербург

2022г.

  1. Цель работы

Получение практических навыков численного определения количества информации, содержащегося в сообщении.

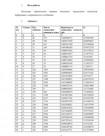
  1. Таблица 1

№ п/п

Символ

Код символа

Число вхождений символа в текст

Вероятность вхождения символа (рi)

Ii

1

2

3

4

5

6

1

0

48

219

0,002040512

8,93685303

2

1

49

394

0,003671058

8,08958827

3

2

50

347

0,003233140

8,27284824

4

3

51

108

0,001006280

9,95675259

5

4

52

94

0,000875836

10,1570512

6

5

53

36

0,000335427

11,5417151

7

6

54

71

0,000661536

10,561893

8

7

55

14

0,000130444

12,9042852

9

8

56

35

0,000326109

11,5823571

10

9

57

10

0,000093174

13,389712

11

а

224

7201

0,067094646

3,89765854

12

б

225

1063

0,009904403

6,65771421

13

в

226

3421

0,031874849

4,9714377

14

г

227

1380

0,012858021

6,28118754

15

д

228

2930

0,027300002

5,19495514

16

е

229

7360

0,068576114

3,86615004

17

ё

184

2

0,000018635

15,7116401

18

ж

230

602

0,005609079

7,47802041

19

з

231

1594

0,014851946

6,07320418

20

и

232

6377

0,059417103

4,07297792

21

й

233

1176

0,010957270

6,51196774

22

к

234

2460

0,022920821

5,44719749

23

л

235

2825

0,026321674

5,24760494

24

м

236

3418

0,031846896

4,97270341

25

н

237

5502

0,051264372

4,28589967

26

о

238

8546

0,079626558

3,65060649

27

п

239

2925

0,027253415

5,19741918

28

р

240

5186

0,048320072

4,3712336

29

с

241

4996

0,046549764

4,42508233

30

т

242

5541

0,051627751

4,27570944

31

у

243

1912

0,017814882

5,81077328

32

ф

244

344

0,003205188

8,28537533

33

х

245

888

0,008273857

6,91722422

34

ц

246

703

0,006550137

7,25425921

35

ч

247

1093

0,010183926

6,6175624

36

ш

248

408

0,003801502

8,03921475

37

щ

249

379

0,003531297

8,14558605

38

ъ

250

25

0,000232935

12,0677839

39

ы

251

1735

0,016165701

5,95092014

40

ь

252

1172

0,010920001

6,51688324

41

э

253

257

0,002394574

8,70601554

42

ю

254

446

0,004155563

7,91074019

43

я

255

2081

0,019389524

5,68857884

44

.

46

1339

0,012476008

6,32469984

45

,

44

898

0,008367031

6,90106845

46

:

58

126

0,001173993

9,73436017

47

;

59

82

0,000764027

10,3540881

48

-

45

261

0,002431843

8,68373409

49

 

32

17008

0,158470455

2,65771421

50

(

40

336

0,003130649

8,31932267

ВСЕГО

107326

 

 

Полн. Вероятность

1,000000000

 

Энтропия источника

4,56198228

...

Скачать:   txt (7.2 Kb)   pdf (127.4 Kb)   docx (212.3 Kb)  
Продолжить читать еще 2 страниц(ы) »
Доступно только на Essays.club