Essays.club - Получите бесплатные рефераты, курсовые работы и научные статьи
Поиск

Контрольная работа по «Водоснабжению и водоотведению»

Автор:   •  Январь 12, 2019  •  Контрольная работа  •  1,984 Слов (8 Страниц)  •  740 Просмотры

Страница 1 из 8

1МИНИСТЕРСТВО ТРАНСПОРТА РОССИЙСКОЙ ФЕДЕРАЦИИ

ФЕДЕРАЛЬНОЕ АГЕНТСТВО ЖЕЛЕЗНОДОРОЖНОГО ТРАНСПОРТА

ФЕДЕРАЛЬНОЕ ГОСУДАРСТВЕННОЕ БЮДЖЕТНОЕ

ОБРАЗОВАТЕЛЬНОЕ УЧРЕЖДЕНИЕ ВЫСШЕГО ОБРАЗОВАНИЯ

ДАЛЬНЕВОСТОЧНЫЙ ГОСУДАРСТВЕННЫЙ УНИВЕРСИТЕТ

ПУТЕЙ СООБЩЕНИЯ

Кафедра «Гидравлика и

водоснабжение»

КОНТРОЛЬНАЯ РАБОТА

по дисциплине: «Водоснабжение и водоотведение»

Выполнил: Южаков Ю.А.

Шифр: К15-СТР(Б)ПС-251

Проверил: Акимова Ю.М.

Хабаровск

2018


СОДЕРЖАНИЕ

1.        Водоснабжение        3

1.1.        Исходные данные        3

1.2.        Определение расчетных расходов воды        3

1.3.        Назначение режима водопотребления и определение регулирующей ёмкости бака водонапорной башни        6

1.4.        Гидравлический расчет водопроводной сети        9

1.5.        Подбор насосного оборудования насосной станции второго подъёма для работы на сеть        14

2.        Водоотведение        15

2.1.        Исходные данные        15

2.2.        Определение расчетных расходов сточных вод        16

2.3.        Гидравлический расчет сети водоотведения        18


  1. Водоснабжение

  1. Исходные данные

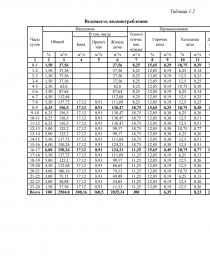
Все расчетные показатели по определению суточного расхода воды представлены в табличной форме (табл. 1.1).

Таблица 1.1

Исходные данные

Наименование показателя

Ед. изм.

Значение

Количество жителей

чел

10700

Удельное водопотребление на одного человека

л/сут

180

Механизированная мойка усовершенствованных покрытий и площадей

тыс. м2

95

Полив городских зеленых насаждений

тыс. м2

55

Технологические нужды ПП

м3/сут

300

Объём здания ПП

тыс. м3

24

Количество работающих на ПП

чел

470

Количество работающих в горячих цехах

%

30

Максимальный горизонт воды

м

288

Шаг горизонталей

̶

1

Материал труб

̶

Чугунные

Этажность застройки

̶

4

Длина водовода

̶

2150

Масштаб

см:м

1:250

Номер плана

̶

20

  1. Определение расчетных расходов воды

1. Среднесуточный расход воды, м3/сут, на хозяйственно-питьевые нужды определяется по формуле:

[pic 1] м3/сут,

где qж – удельное водопотребление; Nж – расчетное число жителей, принимаемое по исходным данным (табл. 1.1).


Расчетный расход воды в сутки наибольшего водопотребления, м3/сут, следует определять по формуле:

[pic 2] м3/сут,

где Kсут.max – коэффициент суточной неравномерности, учитывающий уклад жизни населения, режим работы предприятий, степень благоустройства зданий, изменение величины водопотребления по сезонам года и дням недели. В данной курсовой работе Kсут.max примем равным 1,3.

...

Скачать:   txt (32.4 Kb)   pdf (1.4 Mb)   docx (1.6 Mb)  
Продолжить читать еще 7 страниц(ы) »
Доступно только на Essays.club